作者:CHEONG
公众号:AI机器学习与知识图谱
研究方向:自然语言处理与知识图谱
阅读本文之前,首先注意以下两点:
1、机器学习系列文章常含有大量公式推导证明,为了更好理解,文章在最开始会给出本文的重要结论,方便最快速度理解本文核心。需要进一步了解推导细节可继续往后看。
2、文中含有大量公式,若读者需要获取含公式原稿Word文档,可关注公众号后回复:HMM第二讲,本文主要讲解使用前向算法和后向算法求解隐马尔科夫模型的Evaluation问题。
一、核心结论
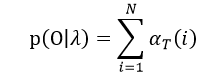
1.HMM Evaluation问题定义:已知参数 λ = ( π , A , B ) \lambda=(\pi,A,B) λ=(π,A,B),求输出观测序列 O O O的概率 p ( O ∣ λ ) p(O|\lambda) p(O∣λ)
2.常规复杂计算 p ( O ∣ λ ) p(O|\lambda) p(O∣λ):

复杂计算的时间复杂度为 O ( N T ) O(N^T) O(NT)
3.前向算法,假设:

求 α t ( i ) \alpha_t(i) αt(i)递推式得 α T ( i ) \alpha_T(i) αT(i),最终得出:

4.后向算法,假设:

求 β t ( i ) \beta_t(i) βt(i)递归式得 β 1 ( i ) \beta_1(i) β1(i),最终得出:

前向、后向算法的时间复杂度为 O ( T N 2 ) O(TN^2) O(TN2)
二、复杂计算
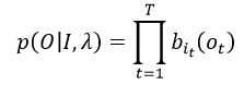
一般情况下,求解 p ( O ∣ λ ) p(O|\lambda) p(O∣λ)的时间复杂度为 O ( N T ) O(N^T) O(NT),指数级的复杂度,运算如下:

其中:

其中:

因此:

同理可得:

所以:

由此可见,常规计算的时间复杂度是 O ( N T ) O(N^T) O(NT)
三、前向算法
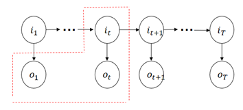
下面介绍通过前向算法来求解 p ( O ∣ λ ) p(O|\lambda) p(O∣λ),如下图所说:

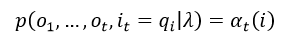
根据上图,先给出一个假设变量

因此:

所以:

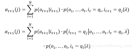
接下来目的便是找出 α t ( i ) \alpha_t(i) αt(i)的递推式,从而可以方便的求出 α T ( i ) \alpha_T(i) αT(i),最终求得 p ( O ∣ λ ) p(O|\lambda) p(O∣λ)

根据观测独立假设,存在:

因此:

根据齐次马尔科夫假设,存在:

并且

所以可以得到递推式:

从而便得到了前向算法的递归公式,通过递归公式便可以计算出 p ( O ∣ λ ) p(O|\lambda) p(O∣λ)
四、后向算法
下面介绍通过后向算法来求解 p ( O ∣ λ ) p(O|\lambda) p(O∣λ),如下图所说:

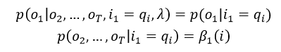
根据上图,先做出一个假设:

因此:

所以可以通过上述假设变量求出 p ( O ∣ λ ) p(O|\lambda) p(O∣λ),推导过程如下:

其中:

因此:

其中:

因此:

因此只需要通过后向算法求出
β
1
(
i
)
\beta_1(i)
β1(i),便可以求解
p
(
O
∣
λ
)
p(O|\lambda)
p(O∣λ),接下来推导
β
t
(
i
)
\beta_t(i)
βt(i)的递推公式

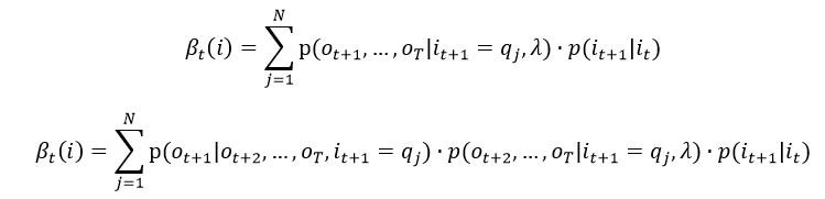
结合上图,其中:

因此:

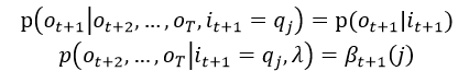
根据观测独立假设,其中:

因此:

从而得到了 β t ( i ) \beta_t(i) βt(i)的递归式,可以求出 p ( O ∣ λ ) p(O|\lambda) p(O∣λ)
三、往期精彩
【知识图谱系列】探索DeepGNN中Over-Smoothing问题
【知识图谱系列】知识图谱表示学习综述 | 近30篇优秀论文串讲
【知识图谱系列】动态知识图谱表示学习综述 | 十篇优秀论文导读
Transformer模型细节理解及Tensorflow实现
GPT,GPT2,Bert,Transformer-XL,XLNet论文阅读速递
Word2vec, Fasttext, Glove, Elmo, Bert, Flair训练词向量教程+数据+源码
原稿获取请关注公众号后回复:HMM第二讲 ,原创不易,有用就点个赞呀!

1492

被折叠的 条评论
为什么被折叠?



