主要目的是随着NdFeB器件朝着高内禀矫顽力和小型化方向发展,给磁测量测量带来了新的研究课题。目前对于薄的样品,可采用的德国玛格力生产的C-750电磁铁法(IEC60404-5硬磁材料测量方法)进行测试,测试范围根据设备提供的间隙磁场参数和测试J线圈的厚度指标,可满足样品厚度1.2mm以上,内禀矫顽力2500kA/m以下的样品测量。对于更高内禀矫顽力的样品,多采用的英国Hirst生产的PFM14螺线管脉冲法(IEC TR 62331 脉冲磁场磁性测量方法)对开路样品测量装置进行测量。
国内外同行进行过两种设备的测试比较,发现了一些问题存在,当两种测试方法出现差异时,并未对不同的测试方法上的差异造成做出更多的解释和说明,最多进行过一些可测试范围内样品的重复性比较,不能解决根本问题。
湖南省永逸科技有限公司,自2017年5月聘请巴塞罗那自治大学陈笃行教授后,开展了对软磁材料开路样品的磁测量研究,采用螺线管退磁修正法与B类磁导计法对圆柱开路样品测试,并获得成功,目前已经分别在JMMM、IEEE和《金属功能材料》等学术刊物上发表论文6篇,申请中国发明专利一项,引起国际同行的重视,部分产品已经被科研院所所采纳,相信不久的将来会获得世界的认可,将成为一种准确测量开路样品的测试方法,即采用螺线管退磁修正法和B类磁导计法相结合,采用B类磁导计法对样品的均匀性进行测试,采用螺线管退磁修正法对圆柱长样品进行测量获得准确的标准样品,标准样品可对现有的磁导计法进行校准的一套完善的测量体系,从而解决贸易上的测试数据不统一的争端,更好的为世界服务。
针对永磁材料的磁性能测量,湖南省永逸科技有限公司于2019年4月起开展进行相关研究,借助于对软磁开路样品测量过程中的相关经验和处理问题的快速相应能力,特别是借助陈笃行教授几十年对退磁修正方法的研究,开发效率非常高。开发一步一步做,第一步是将电磁铁法的研究工作做好,第二步做脉冲测量装置,最后达到两种测量方法的统一,因为只有采用两种以上的测量方法对同一性能的产品,获得同样的测试结果,才真正具有说服力。
针对目前当IEC60404-5和IEC TR 62331 对同一样品测试出现偏离时,大家很少去关心相关标准的准确性,或验证该标准是否还存在缺陷。为销售设备用一个标准去否定另一个标准的现象经常出现,同时给不出整个体系的说明,或者仅仅依靠一部分零碎的、片面的试验证明该方法或标准的准确性,这种现象还非常严重。
日本人2017年也进行过脉冲法、电磁铁法和超导VSM法的测试比较,差别相当大,并在不断的研究。尤其是高内禀矫顽力测量数据的统一,目前是一个悬而未决的问题。尽管IEC TR 62331方法中,引用退磁修正方法为陈笃行教授的两篇论文;涡流通过f&2f条件下外推法修正,但不能很好的解释与电磁铁法差异的原因,且脉冲法测量设备目前比较昂贵,是一般企业用不起的设备,不能很好的为中国稀土永磁制造服务。发展电磁铁测量法对中国稀土永磁制造是一个很有意义的工作,因此开发第一阶段就从电磁铁法测量稀土永磁开始。
针对目前电磁铁法永磁磁测量的难点,我们首先完成了薄型J线圈的制作,目前可以与德国玛格力一样完成厚度1mm固定J线圈的加工,标定精度优于0.3%,可以开展对高内禀矫顽力薄样品的测量,可将电磁铁法和未来开发脉冲法研究联系在一起。
在陈笃行教授的指导下,仔细的针对电磁铁测量法IEC60404-5进行消化,并发现标准中关于电磁铁间隙对测试偏差的计算公式存在错误,已经在IEEE上发表论文一篇,并将添加间隙对NdFeB样品的测试影响进行相关研究,因为我们觉得通过添加间隙测量并进行修正将会成为一种工业磁测量中非常有意义的工作,后期将可能解决薄样品免除应力影响、重复测量、考核低温条件下测量等一些重大的科研问题,实验成果也已经向IEEE提交论文一篇。
1、AlNiCo添加不用间隙并进行修正:

2、NdFeB添加不用间隙并进行修正:

接下来就是做NdFeB电磁铁法测量的深度研究课题,2013年湖南省永逸科技有限公司与浙江省计量科学研究共同完成国家质检总局科技计划项目(2013QK069)中,我们发现电磁铁法采用铁钴合金极头和纯铁极头对NdFeB样品测量Hk的较大差异性,这实际是一个非常严重,同时也非常有用的现象,基于当时能力,我们在论文中只是呼吁标准中应添加统一极头材料,方便大家比对。采用2013年的测试原始数据,陈笃行教授将对Fe极头测试数据进行修正后,Fe极头和FeCo合金极头测试的数据将达到一致。

下面将我们对NdFeB电磁铁法所测试的一些现象介绍给大家:
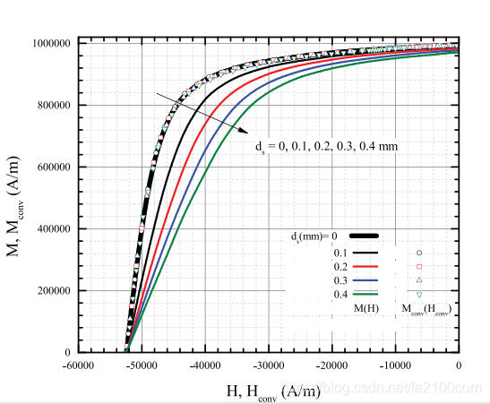
1、取N38SH同一材料不同厚度(4mm和8mm)的测量:

重点:不同厚度条件下,测试结果一致,这也是以前我们说IEC60404-5不应该添加一个标准要求,因测试不同厚度样品的数据没差别。
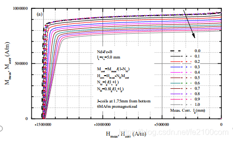
2、取N42UH同一材料不同厚度(3.5mm、5mm和叠加8.5mm)的测量:

重点:不同厚度的样品,所获得的Hcj存在差异,且越薄Hcj测试到的数据越大,经过初步外推修正获得材料的唯一曲线:

3、取N35EH同一材料不同厚度(3mm、3mm、5mm和叠加6mm)的测量:

重点:不同厚度的样品,所获得的Hcj存在差异,且越薄Hcj测试到的数据越大,经过初步外推修正获得材料的唯一曲线:

经过阶段性对电磁铁法永磁材料测试设备的研究,目前获得一下几点结论:
1、采用电磁铁法测量永磁材料,原标准中关于间隙对磁测量数据影响的公式有错误;
2、采用电磁铁法测量永磁材料,在被测试样品的内禀矫顽力尚没超过电磁铁极头所使用材料的饱和Ms 条件下,测试数据偏差极小,且与样品的厚度没有关联;
3、采用电磁铁法测量永磁材料,在被测试样品的内禀矫顽力超过电磁铁极头所使用材料的饱和Ms 条件下,所测试的数据与实际永磁材料的特性存在差异,差异主要出现在Hcj值和J-H曲线上,二象限的B-H曲线没有差异。
4、高内禀矫顽力的稀土永磁材料可以通过测试不同厚度的样品(至少2个),并做修正获得该材料的真实曲线,从而将无解变成有解。
小结:如此方法研究成功,将对现有IEC60404-5标准提出重大修改,可将原标准测试一般永磁(Hcj≦600kA/m)采用扫描法测量,稀土永磁(Hcj>600kA/m测量)抛移法测量的后一段(如果采用FeCo 合金材料制作极头)再细分为两段,即Hcj:(600kA/m~1800kA/m)按现有标准规定的方法,大于1800kA/m采用原来的方法测试不同厚度的两个样品,并加以修正获得。
最后特别感谢为开发试验工作配合提供测试样品的宁波韵升、宁波科宁达和惠州高斯龙等企业!
探讨了NdFeB器件高内禀矫顽力和小型化趋势下,磁测量面临的新挑战。介绍了德国C-750电磁铁法和英国PFM14螺线管脉冲法的应用,及湖南省永逸科技有限公司在软磁材料开路样品磁测量领域的创新,包括螺线管退磁修正法与B类磁导计法结合使用,解决了不同测试方法间的差异问题。并深入研究了电磁铁法测量永磁材料的难点,如间隙对测试偏差的影响,以及不同极头材料对NdFeB样品测量Hk的影响。
2886

被折叠的 条评论
为什么被折叠?



