方差分析可以用来判断几组观察到的数据或者处理的结果是否存在显著差异。 一个复杂的事物,其中往往有许多因素互相制约又互相依存。方差分析的目的是通过数据分析找出对该事物有显著影响的因素,各因素之间的交互作用,以及显著影响因素的最佳水平等
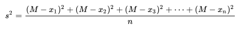
M为x1,x2,x3......xn的平均数, s的平方为方差,s为标准差。
通过briskbi进行方差标准差分析(http://www.briskbi.com)
步骤1:计算出各个班级总成绩的平均值。


步骤2:将总成绩表和平均成绩表进行连接。

步骤3:通过新增列计算标准差和方差。

详细的操作可以查看视频演示:
https://www.bilibili.com/video/BV1Ci4y1y718/
本文介绍了如何运用briskbi进行方差和标准差分析来判断数据组间的显著差异。通过计算平均值、连接数据表、计算标准差和方差,帮助找出关键影响因素。详细操作可通过提供的视频演示了解。
5403

被折叠的 条评论
为什么被折叠?



