输入格式:
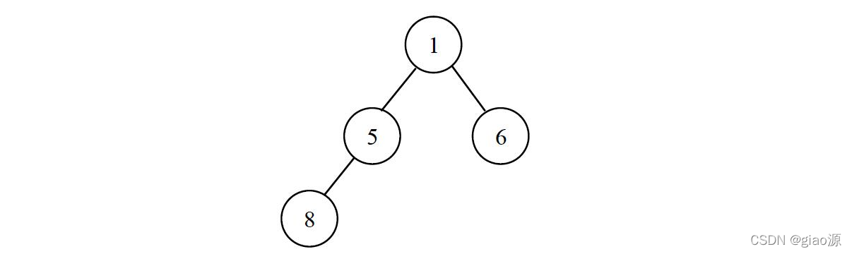
输入第1行为一组用空格间隔的整数,表示带空指针信息的二叉树先根序列,其中空指针用0表示。例如1 5 8 0 0 0 6 0 0表示如下图的二叉树。第2行为整数m,表示查询个数。接下来m行,每行为一个不等于0的整数K,表示要查找的结点的数据值。m不超过100,二叉树结点个数不超过150000,高度不超过6000。输入数据保证二叉树各结点数据值互不相等。

输出格式:
输出为m行,每行1个整数,表示被查找结点K的父结点数据值,若二叉树中无结点K或结点K无父结点,则输出0。
输入样例:
1 5 8 0 0 0 6 0 0 3 8 1 6
输出样例:
5
0
1
#include<iostream>
#include<vector>
#include<cstring>
#include<stdlib.h>
using namespace std;
typedef struct Node{
struct Node *l,*r;
int data;
}*tree,node;
int god,flag;
void createtree(tree &T)
{
int s;
cin>>s;
if(s==0)
{
T=NULL;
}else
{
T=(tree)malloc(sizeof(struct Node));
T->data=s;
createtree(T->l);
createtree(T->r);
}
}
void seek(tree T)
{
if(T)
{
if(T->l&&T->l->data==god)
{
flag=1;
cout<<T->data;
}else if(T->r&&T->r->data==god)
{
flag=1;
cout<<T->data;
}else{
seek(T->l);
seek(T->r);
}
}
}
int main()
{
tree T;
createtree(T);
int m;
cin>>m;
tree s=T;
for(int i=0;i<m;i++)
{
cin>>god;
flag=0;
seek(s);
if(flag==0)
cout<<0;
cout<<endl;
}
}

本文介绍了一种在二叉树中查找指定结点及其父结点的方法。通过递归创建二叉树并遍历查找,实现对指定结点数据值的有效定位。适用于了解二叉树数据结构及基本操作的学习者。
2154

被折叠的 条评论
为什么被折叠?



