题目描述
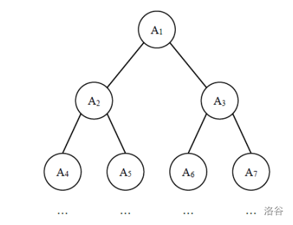
给定一棵包含 �N 个节点的完全二叉树,树上每个节点都有一个权值,按从上到下、从左到右的顺序依次是 �1,�2,⋯��A1,A2,⋯AN,如下图所示:

现在小明要把相同深度的节点的权值加在一起,他想知道哪个深度的节点权值之和最大?如果有多个深度的权值和同为最大,请你输出其中最小的深度。
注:根的深度是 11。
输入格式
第一行包含一个整数 �N。
第二行包含 �N 个整数 �1,�2,⋯ ,��A1,A2,⋯,AN。
输出格式
输出一个整数代表答案。
在本道题中,我们要清楚什么是节点,什么是权值,什么是深度;
二叉树节点,由本题目举例,例如A1,A2,A3......,这些称之为节点;
权值就是每个节点带的数值;
深度就是层数,请注意二叉树的层数是由0开始的;
第0层的节点数 2的0次方;
第1层的节点数 2的1次方;
第2层的节点数 2的2次方;
..........;
第n层的节点数 2的n次方;
ok,前提说明完毕,我们开始看代码;
#include<bits/stdc++.h>
#define int long long
#define LL_int 128
#define MAXN 250000
using namespace std;
int n;
int a[MAXN];
int maxn=-1e9,dep=1,ans;
signed main(){
std::ios::sync_with_stdio(false);
cin.tie(0);cout.tie(0);
cin>>n;
int sum=0;
for(int i=1;i<=n;i++){
cin>>a[i];
sum+=a[i];
if(i==(1<<dep)-1){
if(sum>maxn){
maxn=sum;
ans=dep;
}
dep++;
sum=0;
}
}
if(sum>maxn){
maxn=sum;
ans=dep;
}
cout<<ans;
return 0;
}

程序解决了一个关于完全二叉树中节点权值和的问题,寻找具有最大和的相同深度,输出最小深度。
985

被折叠的 条评论
为什么被折叠?



