2014-10-27 12:31:44
转载一下大牛的百度空间:http://hi.baidu.com/aekdycoin/item/e051d6616ce60294c5d249d7
【组合数求模】
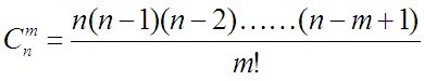
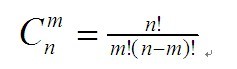
大家都在中学阶段学习了组合数的定义:
这个表示的是从n个元素中选取m个元素的方案数。
(PS.组合数求模似乎只用在信息学竞赛和 ACM竞赛等计算机编程设计大赛中……,求在现实中的运用)
可以知道当n,m 取得比较大的时候,组合数可能很大很大 (天文数字?无法度量?)
例如 C(100, 50) = 100891344545564193334812497256, 于是计算机的 64位整数型已经没法阻止它了!C(1000000000, 500000000) ? C( 2^50000, 2^49999 ) ? (Note:这里^表示次方,你能计算得到2的50000次级别的组合数么?它有多少位?)
看起来似乎高精度神马的都无法阻止这个邪恶的函数的急速扩张了……
庆幸的是,在竞赛中我们能够遇到的规模也就只有10^9级别(显然是mod上某个数字K,否则输出的文件那叫一个大啊……),这是多么的小呀呀呀呀!(Note: 相比较2^50000 -_-)
一. 入门篇:我会暴力!
(1) K = 1: 今天你学数论了么? 难度系数: 0
(2) (K> 1) n, m <= 1000 (n * n 是可以接受的) 难度系数: 1
递推!
c(n,m) =c(n - 1,m) + c(n – 1, m – 1)
某人: 555555 这个公式太复杂, 记忆不能!
c(5,2) = 10 = c(4,2) + c(4,1) = 6 + 4 ……
我们知道mod操作满足加法性质,即
(a + b) mod c = ( (a mod c) + (b mod c) ) mod c
c(n,m) = ( c(n - 1,m) + c(n – 1, m – 1) ) mod K
证明利用模的定义即可……很简单的
于是如此,我们只需要简单的开上一个 f[ N ][ N ],2个循环搞定!
其实我们遇到的大部分情况需要的 组合数 都可以用这个来搞定~
这里唯一可能被邪恶的其实是 K + K 溢出! 所以如果某个邪恶的题目出到 K = 2*10^9,在某些倒霉的场合会出现2个接近K的int相加,那么就溢出了!不要忘记用unsigned int… (我从来没出过这种题的!真的!)
(3) n 巨大(10^9 级别), m巨小(10^4级别), k 很小,大约10^9
a) m<= 1: 今天你学数论了么? 难度系数: 0
b) m<= 10000 难度系数: 2

可以发现分子分母的项数都少到可以接受!于是我们可以采取各种方式来通过:
i) 对于每个数字,分解素因子,合并,二分求幂! (你会数论!)
ii) 对于每个数字,只分解包含于K的素因子,例如K里面有一个素因子3,那么分解的时候我只考虑3呀,因为其他部分显然与3互质……最后统计3的次数即可……
例子:
计算C(10, 3) mod 36
C(10, 3) = (10 * 9 * 8) / (1 * 2 * 3)
对于分母:
1 : ok 逆元(有区别么?)
2: 没法逆元, (2, 36) = 2
3: 没法逆元, (3,36) = 3
为了神马啊!! 还不让人逆元啊!显然是因为邪恶的2和3,如果他们不存在,那么多么美好呀!
于是我开2个变量,记录2,3的次数
对于分子:
10: 里面只有1个2,去掉了2,剩下的部分是 10 / 2 = 5.
9: 里面只有2个3,去掉去掉, 剩下的是 9 / (3^2) = 1.
8: 里面只有3个2,去掉去掉,剩下的是 8 / (2^3) = 1
于是啊,分母我们把剩下的部分乘起来,得到了神马?得到了 和 2,3 因子完全无关的 部分mod 36的值!就是 5 * 1 * 1 = 5了。
接下来,还有分母呢
1: 逆元(其实你可以无视它)
2: 一个2,去掉去掉, 剩下1, 逆元继续是1(继续无视)
3: 一个3,同上
接下来发现,2有几个? 分子有4个,分母1个,所以一共只有4 – 1 = 3个
3有几个? 同上的做法,显然只有1个。
于是呢答案就是:
5 * 1 * 2^3 * 3^1 = 12( mod 36)
解释:
5 -> 分子除了因子2,3的积
1 ->分母除了因子2,3 的逆元的积
2^3 -> 最终统计发现有3个2
3^1 ->最终统计发现有1个3
请好好理解本例子,你会发现这个问题是如此的美妙!
经典例题:
http://acm.fzu.edu.cn/problem.php?pid=2020
c) m<= n 别想了!我不会!你会了教我!难度系数: -1
二. 基础篇:我会数论!
1) n,m<= 10^6, K是10^9级别
对于n! 分解素因子,这里就不说了,可以参考各种帖子。
之后保存个数,二分求幂啊啊啊啊啊
2) n,m<= 10^10, k是素数,并且K 很小(比如几百?)
其实遇到这种情况我都用一个叫Lucas定理的东西。
ni,mi 就是把 n,m分解p进制的第i位的值。
例如:
计算 C(12, 4) mod 7
n = 12 (15)(base_7)
m = 4 (4) (base_7)
为了对齐,我们前面的部分补0
m = 4 (04) (base_7)
于是
Ans = C(5,4) * C(1,0) mod 7= 5 (mod 7)
有人又要问了, 如果mi > ni 怎么办呀?
直接为0!!!!!!!!!
这里不给出证明,证明可以搜索到。同时由于这个应用的区域比较狭窄,显然有更简单,更好理解的算法,于是这里被无视了。
三. 究极篇
n,m <= 10^9, p <= 10^5
是不是怎么看怎么不可做呢?
第一次见到这种题目是不是觉得作者NC了,出个不可做题 >_<
第一次交发现一坨人全部WA,是不是觉得作者的数据搞疵?!!!!
首先要知道,这题其实等价是求:

求完直接合并一个模方程即可。(CRT)
p^c 的规模大约是10^5。
c 不是1,lucas阻止不了它。
n,m太大,因子分解也阻止不了它。
下面介绍我的做法:
假设 p = 3, c = 2,也就是mod 9
假设n = 19
n! = 1 * 2 * 3 * 4 * 5 * 6 * 7 * 8 * …… * 19
要是可以快速得到 n! 中除掉3 以后 mod 9的结果,那么多好呀!
看3多讨厌,直接砍
type cal( int n) :
n! = [ 1 * 2 * 4 * 5 * 7 * 8 * … * 16 * 17 * 19 ] * (3 * 6 * 9 * 12 * 15 * 18)= [ 1 * 2 * 4 * 5 * 7 * 8 * … * 16 * 17* 19 ] * 3^6( 1 * 2 * 3 * 4 * 5 * 6)
然后发现后面的一坨实际上是 cal( n / p) !!!!
再看前半部分,尼玛是以 p^c 为周期的啊!!!
[1 * 2 * 4 * 5 * 7 * 8 ] = [10 * 11 * 13 * 14 * 16 *17 ] = (mod 9)
于是说白了,对于前面的部分,由于周期,都是浮云了
下面是 孤立出来的19
可以知道孤立出来的 长度 不超过 p^c ,于是暴力啊,暴力啊!
于是完美解决n! 中和 p无关的项 mod p^c的值!!!
接下来是分母部分,一模一样,无非多了一个求逆元(因为都和p没关系了,逆元必然存在)
我们来分析一下,这样的复杂度是如何的呢
每次递归,规模变为原来的 1/p
logp N的啊!!!
当然是层数= =
于是问题完美解决!
1390

被折叠的 条评论
为什么被折叠?



