递归与分治策略
任何一个可以用计算机求解的问题所需的计算时间都与其规模n有关。问题的规模越小,越容易直接求解,解题所需的计算时间也越少。
分治法的设计思想是,将一个难以直接解决的大问题,分割成一些规模较小的相同问题,以便各个击破,分而治之。
如果原问题可分割成k个子问题(1<k≤n),且这些子问题都可解,并可利用这些子问题的解求出原问题的解,那么这种分治法就是可行的。
由分治法产生的子问题往往是原问题的较小模式,这就为使用递归技术提供了方便。
递归算法
程序直接或间接调用自身的编程技巧称为递归算法(Recursion)。
一个过程或函数在其定义或说明中又直接或间接调用自身的一种方法,它通常把一个大型复杂的问题层层转化为一个与原问题相似的规模较小的问题来求解,递归策略只需少量的程序就可描述出解题过程所需要的多次重复计算,大大地减少了程序的代码量。
递归需要有边界条件、递归前进段和递归返回段。
当边界条件不满足时,递归前进;
当边界条件满足时,递归返回。
注意:在使用递增归策略时,必须有一个明确的递归结束条件,称为递归出口,否则将无限进行下去(死锁)。
递归的缺点:
递归算法解题的运行效率较低。
在递归调用过程中,系统为每一层的返回点、局部变量等开辟了堆栈来存储。递归次数过多容易造成堆栈溢出等。
1.Fibonacci数列

Fibonacci数列的递归算法
int fib(int n)
{
if (n<=1) return 1;
return fib(n-1)+fib(n-2);
}
该算法的效率非常低,因为重复递归的次数太多。
Fibonacci数列的递推算法
int fib[50]; //采用数组保存中间结果
void fibonacci(int n)
{
fib[0] = 1;
fib[1] = 1;
for (int i=2; i<=n; i++)
fib[i] = fib[i-1]+fib[i-2];
}
2.集合的全排列问题


//产生从元素k~m的全排列,作为前k—1个元素的后缀
void Perm(int list[], int k, int m)
{
//构成了一次全排列,输出结果
if(k==m)
{
for(int i=0;i<=m;i++)
cout<<list[i]<<" ";
cout<<endl;
}
else
//在数组list中,产生从元素k~m的全排列
for(int j=k;j<=m;j++)
{
swap(list[k],list[j]);
Perm(list,k+1,m);
swap(list[k],list[j]);
}
}
数组list[]={1, 2, 3, 4, 5, 6,7},则调用Perm(list,2,4) 就是产生元素3~5的全排列。
3.整数划分问题
整数划分问题是算法中的一个经典命题之一。把一个正整数n表示成一系列正整数之和:
正整数n的这种表示称为正整数n的划分。正整数n的不同划分个数称为正整数n的划分数,记作p(n) 。
正整数6有如下11种不同的划分,所以p(6)=11。
6
5+1
4+2, 4+1+1
3+3, 3+2+1, 3+1+1+1
2+2+2, 2+2+1+1, 2+1+1+1+1
1+1+1+1+1+1

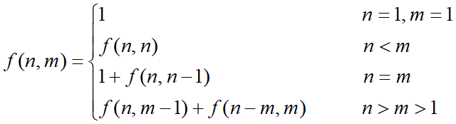
正整数n的划分数p(n)=f(n,n)



正整数n的划分算法:
int split(int n,int m)
{
if(n==1||m==1) return 1;
else if (n<m) return split(n,n);
else if(n==m) return split(n,n-1)+1;
else return split(n,m-1)+split(n-m,m);
}
本文探讨了递归与分治策略在算法设计中的应用,包括递归算法的基本概念、递归的边界条件与返回段,以及递归算法的缺点。通过Fibonacci数列、集合的全排列问题和整数划分问题的实例,详细讲解了递归算法和分治策略的具体实现。
9916

被折叠的 条评论
为什么被折叠?



