
写在最前
本故事采用简洁明了的对话方式,尽洪荒之力让你在轻松无负担的氛围中,稍微深入地理解进程、线程和协程的相关原理知识
如果你觉得自己本来就已经理解得很透彻了,那也不妨瞧一瞧,指不定有意外的收获呢
在这个 AI 内容生成泛滥的时代,依然有一批人"傻傻"坚持原创,如果您能读到最后,还请点赞或收藏或关注支持下我呗,感谢 ( ̄︶ ̄)↗
进程
丹尼尔:蛋兄,我对进程、线程、协程这些概念似懂非懂的,要不咱们今天就好好聊聊这些?
蛋先生:当然可以
丹尼尔:先说说进程吧,从字面意思上看,是不是可以理解为正在运(进)行的程序?
蛋先生:正是如此,程序是静态的,而进程则是动态的
丹尼尔:说得我更糊涂了
蛋先生:好吧,以你电脑上的视频播放器(就是一个程序)为例。当你不双击它时,它就是一个安静的美男子——哦不,就是一份静静躺在硬盘上的代码
丹尼尔:别逗我了,蛋兄
蛋先生:( ╯▽╰) 但当你双击它时,它就通过进程“动”起来了
丹尼尔:进程做了什么让它“动”起来了?
蛋先生:程序是代码,比如播放逻辑的代码。要让视频播放,这些代码必须执行起来对吧
丹尼尔:确实。那进程是怎么执行这些代码的?
蛋先生:进程会利用操作系统的调度器分配给它的 CPU 时间片,通过 CPU 来执行代码(注意:现代操作系统都是直接调度线程,不会调度进程哦)
丹尼尔:原来如此,操作系统给进程分配了 CPU 时间片资源。那还有其他的资源吗?
蛋先生:代码执行过程,需要存储一些数据,所以进程还分配有内存空间资源
丹尼尔:都存些什么数据呢?
蛋先生:程序代码本身就需要先存储起来。然后代码执行过程中的变量,参数什么的,也是需要存储的。给个图你了解一下吧

丹尼尔:哦,还有其它资源吗?
蛋先生:程序可能会执行一些 I/O 任务,比如视频播放器需要加载视频,这些视频数据可能从本地文件加载,也可能从网络上加载,这就需要文件描述符资源。计算,存储,I/O 涉及的三大资源,就是分配给进程最主要的资源了。而进程就是分配资源的基本单位了
丹尼尔:原来如此,代码执行,数据存储,I/O 操作,程序就能运行起来了
蛋先生:正是这样。有了进程,我们可以同时运行多个程序。比如,你可以一边播放视频,一边编辑文档,每个程序都有自己的进程,互不干扰。即使它们都是同一份代码,但各自播放的内容和进度都可以不同
丹尼尔:明白了
蛋先生:既然你有编程基础,我就简单总结一下吧。
什么是进程?进程就是程序的实例(就像面向对象编程中的类,类是静态的,只有实例化后才运行,且同一个类可以有多个实例)
为什么需要进程?为了让程序运行起来(如果程序不运行,用户昨看视频捏)
线程
丹尼尔:这个总结我喜欢,接下来该聊聊线程了
蛋先生:进程(可以看成只有一个线程的进程)同时只能做一件事,所以你的视频播放器的工作方式就像以下

丹尼尔:那样的体验肯定糟糕透了,视频完全加载并解码完之前,啥都看不了
蛋先生:没错,所以我们期望能够一边加载和解码,一边播放,这样就不会浪费时间空等了。为了实现这个目的,一个进程就需要进化成多个线程来同时执行多个任务

丹尼尔:那如果一个进程只能做一件事,我用两个进程不也可以同时做两件事吗?

蛋先生:你说得对,但进程间是完全独立的,互不干扰。而线程则共享同一个进程的资源,所以线程间交换数据更方便,几乎没有通讯损耗。但进程间交换数据就麻烦多了,得通过一些通讯机制,比如管道、消息队列之类的
想象一下,我和你住在不同的房子,你要寄给我一箱牛奶,就得通过快递等方式寄给我。但如果我和你住在同一个房子,你买了牛奶只要往冰箱一放,我只要去冰箱一拿,多方便啊

丹尼尔:那线程都共享进程的什么资源呢?
蛋先生:分配给进程的资源,绝大部分都是线程间共享的。比如内存空间的代码段,数据段,堆,比如文件描述符等。而栈则是每个线程特有的,因为线程是程序执行的最小单位,它需要记录自己的局部变量等
共享资源覆盖
丹尼尔:线程之间共享资源,总感觉会有什么问题
蛋先生:大部分情况下线程之间还是可以和平共处的,但有一种情况,就是大家都想对同个资源进行写操作时,就会发生覆盖,导致数据不一致等问题
丹尼尔:能具体说一说吗?
蛋先生:为了更容易理解,我们借助以下代码来说明。如果两个线程来运行 main 方法,会有概率出现一些让你费解的结果
public class Main {
// 定义一个静态成员变量 a
private static int a = 1;
// 定义一个方法 add 来增加 a 的值
public static void add() {
a += 1;
}
public static void main(String[] args) {
add();
System.out.println("a 的值是: " + a); // 输出 a 的值
}
}
丹尼尔:怎么说?
蛋先生:a 是个静态成员变量,它存储在进程内存空间的数据段,共享于多个线程,所以它属于线程间共享的资源对吧
丹尼尔:没错
蛋先生:我们再看下 add 方法的逻辑 a += 1, 这么简单的代码,在底层并非原子操作,而是分为三个步骤
步骤一:获取 a 变量的值
步骤二:执行 +1 运算
步骤三:将运行结果赋值给 a
丹尼尔:那会有什么问题呢?
蛋先生:如果线程 1 在执行完步骤一和步骤二,还没执行步骤三时,操作系统进行了 CPU 调度,发生了线程切换,使得线程 2 也开始执行步骤一和步骤二。接下来线程 1 和线程 2 都会各自执行步骤三。因为 add 方法执行了两次,正确的结果 a 的值应该是 +2。但很遗憾,结果是 +1。这样的结果有时候会让你摸不着头脑,而不稳定的结果也将会导致应用的不稳定
丹尼尔:啊,是这样啊。那该怎么办?
蛋先生:解决方法有很多种,比如加锁方案,比如无锁方案等,需要根据实际情况选择。这个话题比较复杂,我们后面再找时间详细探讨吧。现在只要知道多线程会有资源覆盖的问题就行了
上下文切换
丹尼尔:好的,明白了。刚才提到线程切换,线程切换到底发生了什么呢?
蛋先生:线程切换会进行线程上下文切换。线程在运行时,实际上是在执行代码,而执行代码过程中需要存储一些中间数据,也可能会执行一些 I/O 操作。如果过程中被中断,是不是得保留现场,以便下次恢复继续运行?
丹尼尔:嗯,确实需要,但具体都存储些什么呢?
蛋先生:首先是下一个要执行的代码,这个存储在程序计数器中。然后是一些中间数据如局部变量等,会存储在线程栈中。为了加速计算,中间数据中对当前指令执行至关重要的部分会存储在寄存器中。所以,程序计数器需要保存,寄存器需要保存,线程栈指针也需要保存
丹尼尔:“中间数据中对当前指令执行至关重要的部分会存储在寄存器”,能举个例子吗?
蛋先生:假设以下代码,当在执行 add 方法时,x, y, a, b 会压进线程栈中。而其中 a, b 是和当前运算最相关的,则会存储在寄存器中,以加速 CPU 的运算
int add(int a, int b) {
return a + b;
}
int main() {
int x = 10;
int y = 20;
int result = add(x, y);
return 0
}
协程
丹尼尔:哦,原来如此。线程已经相当不错了,那协程又是怎么回事呢?
蛋先生:回想一下,我们之前一个线程负责运行加载和解码逻辑,另一个线程负责播放逻辑,对吧?
丹尼尔:没错,有什么问题吗?
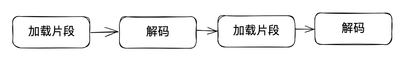
蛋先生:其实还有优化的空间。线程在执行加载视频片段时,必须等待结果返回才能执行解码操作

丹尼尔:确实,加载片段的等待时间似乎又被浪费了
蛋先生:没错,我们可以充分利用这段时间。只需让线程在加载的同时进行解码,就能大幅减少加载等待的时间。而这正是协程所能发挥的作用

丹尼尔:哇,蛋兄,你可真是个会过日子的人,这么精打细算。但我只要用不同的线程分别处理加载和解码,不也能达到同样的效果吗?
蛋先生:可以是可以,但多线程会带来一些问题
丹尼尔:啥问题呢?
蛋先生:首先,一个线程用于执行加载操作,这主要是 I/O 操作,几乎不消耗 CPU 资源,导致该线程长时间处于阻塞状态,这是很浪费的。当然,你可以让它休眠以释放 CPU 时间,但创建线程本身就有开销,线程切换同样有开销。相比之下,协程非常轻量,创建和切换的开销极小
丹尼尔:为什么协程的创建和切换的开销极小呢?
蛋先生:主要是因为它并非操作系统层面的东西,就不涉及内核调度。一般是由编程语言来实现(比如 Python 的 asyncio 标准库),它属于用户态的东西
丹尼尔:那协程不会有像多线程那样的资源覆盖问题吗?
蛋先生:线程的执行时机由操作系统调度,程序员无法控制,这正是多线程容易出现资源覆盖的主要原因。而协程的执行时机由程序自身控制,不受操作系统调度影响,因此可以完全避免这类问题
此外,同一个线程内的多个协程共享同一个线程的 CPU 时间片资源,它们在 CPU 上的执行是有先后顺序的,不能并行执行。而线程是可以并行执行的
丹尼尔:那协程是如何实现这一点的呢?
蛋先生:协程(coroutine),其实是一种特殊的子程序(subroutine,比如普通函数)。普通函数一旦执行就会从头到尾运行,然后返回结果,中间不会暂停。而协程则可以在执行到一半时暂停。利用这一特性,我们可以在遇到 I/O 这类不消耗 CPU 资源的操作时,将其挂起,继续执行其他计算任务,充分利用 CPU 资源。等 I/O 操作结果返回时,再恢复执行
丹尼尔:感觉很像 NodeJS 的异步 I/O 啊
蛋先生:没错,它们的目的都是在一个线程内并发执行多个任务。不过在叫法和实现上会有一些差异
丹尼尔:感觉今天了解得够多了,谢谢蛋兄
蛋先生:后会有期!
写在最后
亲们,都到这了,要不,点赞或收藏或关注支持下我呗 o( ̄▽ ̄)d
1840

被折叠的 条评论
为什么被折叠?



