众所周知,线性代数是一门严谨却又不那么严谨的学科,我们常常从原始定义中得到高度抽象的结果,偶尔还能得到一些玄学结论。本人在学习线代课程时,无意中生发了这样一种想法:分块矩阵也可以进行初等变换吗?
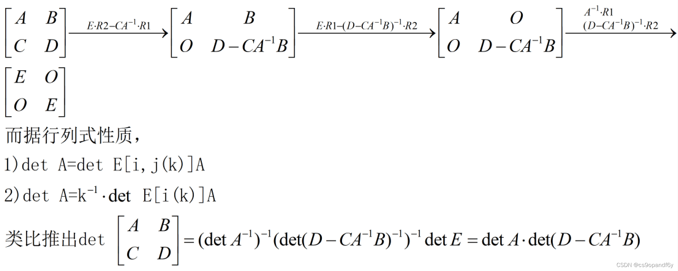
我在计算分块行列式如
时,无意中使用了类似初等变换求最简形的手法(Gauss消元法),将第一行乘以一个矩阵加到第二行上,消去C得到
后,通过上三角矩阵的行列式结论,竟然能够求得正确结果。我又试着对上三角矩阵求逆,结果竟然仍是符合。我猜想,分块矩阵也可以进行初等变换。
通常来说,初等变换是指对矩阵元素的三种变换,与初等矩阵一一对应。现在,我将其扩展到四分块矩阵上。根据分块矩阵的乘法,1)对换两行/两列:主对角线的两个E换到次对角线上;2)某行乘以k:行中的分块矩阵各左乘(注意,只能是左乘)矩阵K;3)某行乘以k加到另一行上:同2)。
定义中涉及的“重定义初等变换”分别对应三种“重定义初等矩阵”,
如图所示。它们的逆矩阵如下:
其中,对于第二、三种“重定义初等变换”,当K可逆,它们的“重定义初等矩阵”便对应可逆。考虑到另一条性质:可逆矩阵一定可以分解为初等矩阵之积,“重定义初等矩阵”实际上代表了一系列初等矩阵之积,故而对四分块矩阵的初等变换也是成立的。
至于其它类型的分块矩阵,留待读者自行证明、考虑应用。
证明完四分块矩阵的初等变换的合理性之后,我给出一些实际运用。
1)求四分块矩阵的行列式(并快速记忆结论)

注1:此处的类比可以实际证明之,即detBA=inv(det inv(B))*det A。
注2:当且仅当A可逆时,四分块矩阵可以这样分解;当B/C/D可逆时,可以同样分解(只要在变换中消去不同元素即可)。
2)求上下三角矩阵的逆(并快速记忆结论)
在此给出上三角矩阵逆的求法。

注:对于次对角线上下三角矩阵,也可以这样处理。
3)处理主次对角线分块矩阵的逆(容易处理)
4)求四分块矩阵
的逆
由于笔者只在纸上进行了演算,涉及到的公式计算较多,本人不会用LeTex录入,故不呈现。读者可以自行尝试通过初等变换和高斯消元法处理四分块矩阵,得到公式。相对于百度百科和知乎给出的解答而言,初等变换的方式显然更快。
分块矩阵的初等变换探索
本文探讨了线性代数中分块矩阵进行初等变换的可能性,通过对四分块矩阵的分析,作者发现可以扩展传统的初等变换概念,包括对换行/列、行乘以常数和行的线性组合。文中还提到了这些变换在求行列式、逆矩阵等问题上的应用,并鼓励读者自行验证和应用到其他类型的分块矩阵。
1508





