1 在线模拟示例
2 盒子模型
盒子模型使用如下假设:
I、重气云团为正立的坍塌圆柱体,圆柱体初始高度等于初始半径的一半。
II、在重气云团内部,温度、密度和危险气体浓度等参数均匀分布。
III、重气云团中心的移动速度等于风速。
重气扩散的盒子模型示意图如下图所示。

图2 重气云团盒子模型
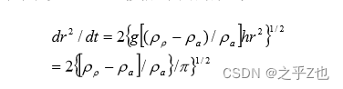
坍塌圆柱体的径向蔓延速度由下式确定:
(53)
式中,正在上传…重新上传取消为圆柱体的径向蔓延速度(m/s),r为圆柱体半径(m),h为圆柱体高度(m),t为泄漏后时间(s)。
等式两边同时乘以2r,上式变成下面的形式:
(54)
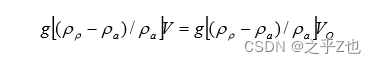
由于假设重气云团和环境之间没有热量交换,重气云团的浮力将守恒,即:
(55)
将上式代入式(53),积分后得到:
(56)
式中,ro为重气云团的初始半径(m),V0为重气云团的初始体积(m3),正在上传…重新上传取消为重气云团的初始密度(kg/m3)。
由于假设重气云团是圆柱体,初始高度等于初始半径的一半,因此重气云团初始半径的计算公式为:
(57)
随着空气的不断进入,云团的高度和体积也将不断变化。云团体积随时间的变化速率由下式确定:
(58)
式中,重气云团体积正在上传…重新上传取消,VT和VP分别为空气从顶部和边缘进入重气云团的速率(m/s)。
由于重气云团内部危险气体质量守恒,因此,在重气云团扩散过程中,下式存立:
(59)
式中,CO和C分别为初始时刻和t时刻重气云团内部危险物质浓度(kg/m3)。
任意时刻重气云团的半径按式(56)计算。如果知道任意时刻重气云团高度的计算公式,利用上式就可计算任意时刻重气云团内部危险物质浓度。但这里不准备采用先推导重气云团高度的计算公式,然后计算重气云团体积和危险物质浓度的方法。而是先采用量纲分析法求重气云团的体积和浓度,然后利用上式反推重气云团的高度。
无量纲量正在上传…重新上传取消与之间存在如下函数关系:
(60)
式中,x为下风向距离(m)。它与时间、风速之间的关系为:
(61)
将上式代入式(52),得到:
(62)
将圆柱形重气云团的体积正在上传…重新上传取消代入式(60),可推导出
(63)
随着空气的不断进入,重气云团的密度将不断减小,重气坍塌引起的扩散将逐步让位于环境湍流引起的扩散。
文章介绍了重气云团在环境中的扩散模型,基于盒子模型假设,详细阐述了坍塌圆柱体的径向蔓延速度、浮力守恒、体积变化及危险气体浓度的计算方法,涉及到无量纲量与时间和风速的关系,并讨论了扩散过程中的动态变化。






