题目描述
用递归的方法对给定的二叉树进行后序遍历。
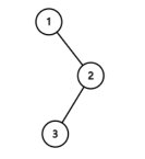
示例

输入
{1,#,2,3}
返回值
[3,2,1]
思路
二叉树的遍历
首先了解一下什么是二叉树的遍历?
- 二叉树的遍历:是指从根结点出发,按照某种次序依次访问二叉树中所有的结点,使得每个结点被访问依次且仅被访问一次
- 二叉树的遍历有四种,分别为:先序遍历、中序遍历、后序遍历、层序遍历
- 二叉树遍历顺序如下:

实际上,先中后序遍历都是对于根节点遍历次序的描述,左右两个节点访问次序始终为先左后右
根节点首先被访问则为先序,中间被访问则为中序,最后被访问则为后序
遍历框架
知道了什么是二叉树的遍历,其实很容易有以下遍历框架:
先序遍历
void recur(TreeNode root){
// 对根节点进行一些操作
func(root); // func为主要操作
// 递归访问左节点
recur(root.left);
// 递归访问右节点
recur(root.right);
}
中序遍历
void recur(TreeNode root){
// 递归访问左节点
recur(root.left);
// 对根节点进行一些操作
func(root); // func为主要操作
// 递归访问右节点
recur(root.right);
}
后序遍历
void recur(TreeNode root){
// 递归访问左节点
recur(root.left);
// 递归访问右节点
recur(root.right);
// 对根节点进行一些操作
func(root); // func为主要操作
}
有了以上框架,再看二叉树的遍历问题就比较简单了,套入框架就可以解答本题。
解答
import java.util.*;
/*
* public class TreeNode {
* int val = 0;
* TreeNode left = null;
* TreeNode right = null;
* }
*/
public class Solution {
/**
*
* @param root TreeNode类
* @return int整型ArrayList
*/
private ArrayList<Integer> res;
public ArrayList<Integer> postorderTraversal (TreeNode root) {
res = new ArrayList<>();
recur(root);
return res;
}
private void recur(TreeNode node){
if(node == null) return;
// 遍历左节点
recur(node.left);
// 遍历右节点
recur(node.right);
// 加入根节点
res.add(node.val);
}
}
本文介绍二叉树后序遍历的概念及实现方法,通过递归方式访问二叉树的所有节点,确保每个节点被访问一次。文章提供了一个Java实现的例子。
1621





