1.树的概念
树(Tree)是n(n>=0)个结点的有限集,它或为空树(n = 0);或为非空树,对于非空树 T:
- 有且只有一个称之为根的结点
- 除根节点以外的其他结点可分为m(m>0)个互不相交的有限集T1, T2, T3 ...,Tm,其中每个结合本身也是一颗树,并且称之为根的子树(SubTree)


2 树的相关术语
1、结点的度
一个结点含有的子树的个数称为该结点的度。
2、叶子结点
度为0的结点称为叶结点,也可以叫做终端结点,叶子结点没有直接后继。
3、分支结点
度不为0的结点称为分支结点,也可以叫做非终端结点。
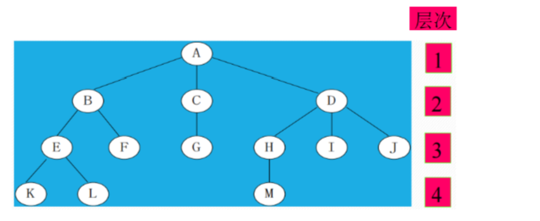
4、结点的层次
从根结点开始,根结点的层次为1,根的直接后继层次为2,以此类推

5、树的度
树中所有结点的度的最大值。
6、树的高度(深度)
树中结点的最大层次。
7、森林
m(m>=0)个互不相交的树的集合,将一颗非空树的根结点删去,树就变成一个森林;给森林增加一个统一的根结点,森林就变成一棵树。

8、孩子结点
一个结点的直接后继结点称为该结点的孩子结点。
9、双亲结点(父结点)
一个结点的直接前驱称为该结点的双亲结点。
10、兄弟结点
同一双亲结点的 孩子结点间互称兄弟结点。
3. 二叉树
1. 二叉树的概念
二叉树就是度不超过2的树(每个结点最多有两个子结点)。

2 .二叉树的基本性质
1、在二叉树的第i层上最多有 2^(i-1) 个结点

2、深度为K的二叉树最多有 2^k - 1个结点

3、深度为K时最少有K个结点(每层1个结点)

3. 特殊形态的二叉树
1、满二叉树
一个二叉树,每层的结点树都达到最大值,则这个二叉树就是满二叉树。深度为K的满二叉树有 2^k - 1个结点。

2、完全二叉树
叶节点只能出现在最下层和次下层,并且最下面一层的结点都集中在该层最左边的若干位置的二叉树。
以下二叉树均为完全二叉树:



4. 二叉树的遍历
在对二叉树元素进行访问、插入、删除等操作时,我们需要对二叉树进行遍历,所谓的遍历指按某条搜索路线遍访每个结点且不重复(又称周游)。
对二叉树的遍历可以按照如下两种思路进行:
- 广度遍历:按层次遍历
- 深度遍历:
- 前序(先序)遍历:根结点 ---> 左子树 ---> 右子树
- 中序遍历:左子树---> 根结点 ---> 右子树
- 后序遍历:左子树 ---> 右子树 ---> 根结点

5. 二分查找树(二叉排序树)
1、二分查找树的概念
二分查找树BST(也叫二分查找树、二叉排序树)的提出是为了提供查找效率,之所以称为二分查找树,因为该二叉树对应着二分查找算法,查找平均的时间复杂度为O(logn),所以该数据结构的提出是为了提高查找效率。
2、二分查找树的性质
二分查找树具有下列性质:
- 若它的左子树不为空,则左子树上所有结点的值均小于根结点的值
- 若它的右子树不为空,则右子树上所有结点的值均大于根结点的值
- 它的左右子树均为二分查找树


4. 平衡二叉树
1. 平衡二叉树概述
1、引入
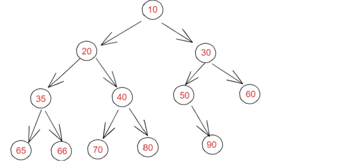
之前我们学习过二叉查找树,发现它的查询效率比单纯的链表和数组的查询效率要高很多,最理想的情况下时间复杂度可以达到O(logn),大部分情况下,确实是这样的,但不幸的是,在最坏情况下,二叉查找树的性能还是很糟糕。
例如我们依次往二叉查找树中插入9,8,7,6,5,4,3,2,1这9个数据,那么最终构造出来的树是长得下面这个样子:

在极端的情况下,二分查找树可能会退化成为链表,我们会发现,如果我们要查找1这个元素,查找的效率依旧会很低。效率低的原因在于这个树并不平衡,全部是向左边分支,如果我们能够把这棵二分查找数进行调整让左右子树的高度相等,并且左右子树的结点数也趋近于相等,那么查找效率就会大大提高,我们可以将这棵树调整成为一棵平衡二叉树。
2、平衡二叉树的概念
平衡二叉树是一种二叉排序树,其中每一个结点的左子树和右子树的高度差至多等于1,平衡二叉树又称为AVL树。平衡二叉树是一种高度平衡的二叉排序树,意思是说,要么它是一棵空树,要么它的左子树和右子树都是平衡二叉树,且左子树和右子树的深度之差的绝对值不超过1。

3、平衡因子
平衡因子(BF,Balance Factor 而不是 Boy Friend)指的是:左子树和右子树高度差。一般来说 BF 的绝对值大于 1,,平衡树二叉树就失衡,需要「旋转」纠正。
4、最小失衡子树/最小不平衡子树
距离插结点点最近的,并且 BF 的绝对值大于 1 的结点为根节点的子树叫做最小失衡子树。

177万+

被折叠的 条评论
为什么被折叠?



