D
B
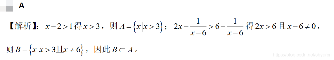
A
A
C 关键词:定价
C
D
E
B
B
A
D
考研基础综合测试-2020-08-01
最新推荐文章于 2025-08-05 16:31:52 发布
本文深入探讨了定价策略在市场中的应用,分析了不同定价方法的优缺点,并提供了实际案例来说明如何制定有效的定价策略。
本文深入探讨了定价策略在市场中的应用,分析了不同定价方法的优缺点,并提供了实际案例来说明如何制定有效的定价策略。
D
B
A
A
C 关键词:定价
C
D
E
B
B
A
D
1111
196
2563
458
451
362
220
213

被折叠的 条评论
为什么被折叠?