7月1日

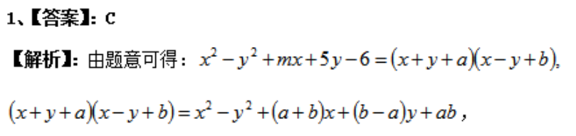
C

D

E

D

A

枚举法:4/6 D

A
7月2日

A
1/3(x1+x2+x3)=5 => 1/3(3x1+7+3x2+7+3x3+7) => x1+x2+x3+7 => 22
1/3[(3x1+7-22)方+(3x2+7-22)方+(3x3+7-22)方] => 9*1/3[(x1-5)方+(x2-5)方+(x3-5)方] => 45

E

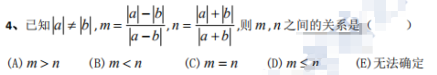
B

B 注意:题干中雇员也认为两种保险没有什么区别。

D



D
7月3日



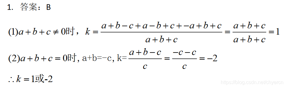
C



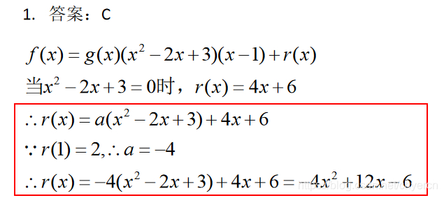
B

D

B


7月6日

C

D

D


7月7日

D

E



E
7月8日

D

A

D


7月9日




7月10日




7月13日

E



D

D



C
7月14日

B

A


D

C



B
7月15日

A

C


E b取0时,1,2都不满足

B (a-1)(b-1)=0




7月16日





E (1)为-1 (2)为199/100 裂项公式




7月17日

A

D





A
7月20日







D




7月21日

B

A

C


7月22日

C







C


7月23日

D





A


C


7月24日

A




A



D
7月27日

E

D



B

E

C

7月28日









C


7月29日

E

A





C


7月30日










7月31日

E

B





E
本文精选了7月份的技术问答,涵盖了枚举法、数学运算、逻辑判断等知识点,通过具体题目解析,帮助读者理解并掌握相关技巧。
340

被折叠的 条评论
为什么被折叠?



