本文是在参考资料[1]基础上略作修改,主要是方面自己理解,做此记录。
目录
2.4 Partitioned Fast Block LMS
1. 概述
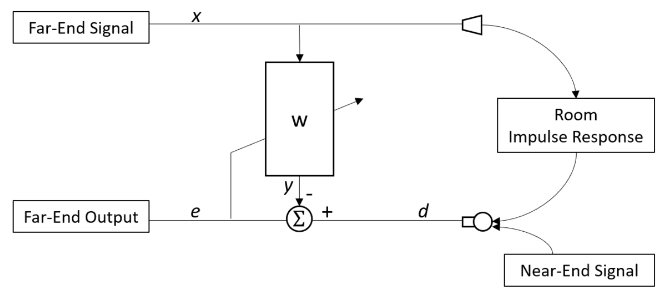
典型回声消除框架如图1。
远端信号x从听筒或喇叭spk播出,并经过空间传播,被麦克风mic接收,近端说话信号也进入麦克风mic,这样麦克风接收到的就是两个信号的叠加,即d。自适应滤波器w对x进行处理获得y,d和y的差值作为误差,传递给自适应滤波器,进行迭代更新。

图1:回声消除框架
远端参考信号(上图far-end signal)经过自适应滤波器w

远端参考信号经过空间传播(即经过Room Impulse Response)得到,
目标误差
![]()
其实,自适应滤波器的作用就是来抵消房间冲击响应对x的影响,以误差最小为目标。
2. 相关算法
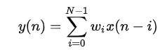
2.1 LMS(least mean square)
LMS是最广泛应用的自适应滤波算法,以MSE误差为目标函数,以梯度下降为优化算法。
NLMS是使用输入的功率对步长进行归一化的方法,可以取得更好的收敛性能。
输入:
输入向量最新样本
期望输出最新样本
输出:
滤波器系数,长度为M的FIR滤波器
滤波器输出
滤波器输出与期望间的误差

本文介绍了回声消除的基本框架,包括远端信号、近端信号和自适应滤波器的作用。重点讨论了LMS算法及其优化方法,如Block LMS、Fast Block LMS,以及Partitioned Fast Block LMS,这些算法通过减少计算复杂度和改进收敛性能来提升回声消除效果。
最低0.47元/天 解锁文章
4762

被折叠的 条评论
为什么被折叠?



