19.删除链表的倒数第N个结点
给你一个链表,删除链表的倒数第 n 个结点,并且返回链表的头结点。
进阶:你能尝试使用一趟扫描实现吗?
示例 1:

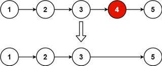
输入:head = [1,2,3,4,5], n = 2
输出:[1,2,3,5]
示例 2:
输入:head = [1], n = 1
输出:[]
示例 3:
输入:head = [1,2], n = 1
输出:[1]
提示:
链表中结点的数目为 sz
1 <= sz <= 30
0 <= Node.val <= 100
1 <= n <= sz
分析:
- 两次遍历法:
很容易想到的方法是两次遍历,第一次遍历找到链表的长度,第二次遍历找到第倒数第n个结点的前一个结点。
此题为不带头结点的单链表,我们需要添加一个哑结点来避免第一个结点的单独操作。
struct ListNode* removeNthFromEnd(struct ListNode* head, int n){
struct ListNode* dummy=(struct ListNode*)malloc(struct ListNode)); //建立一个哑结点
dummy->next=NULL;
struct ListNode *p=dummy; //记录当前位置
dummy->next=head;
int Length=0;
while(head!=NULL){
head=head->next;
Length++;
}
for(int i=0;i<Length-n;i++){
p=p->next; //找到目标结点的前一个结点
}
p->next=p->next->next;
head=dummy->next;
free(dummy);
return head;
}
虽然顺利通过了测试,但是这种方法并不是很高效,所以开始尝试一次遍历。
2.双指针:
双指针的思想是用两个指针同时遍历链表,并且前指针比后指针超前n,当后指针遍历到表尾部时,后指针到达目标结点。
struct ListNode* removeNthFromEnd(struct ListNode* head, int n){
struct ListNode* dummy=(struct ListNode*)malloc(sizeof(struct ListNode));
dummy->next=head;
struct ListNode *first=dummy,*second=dummy;
for(int i=0;i<=n;i++). //注意first的位置
first=first->next; //第一个指针先走到n的前驱结点
while(first){
first=first->next;
second=second->next;
} //两个指针一起走
second->next=second->next->next;
head=dummy->next;
free(dummy);
return head;
}
其实也不是很难,就是要分清前后指针之间需要空开n-1个结点,这样才能保证前指针走到NULL时,后指针指向目标结点。
这篇博客介绍了如何高效地从单链表中删除倒数第N个节点。首先,提出了两次遍历的方法,通过创建一个哑结点并找到链表长度,然后再次遍历找到目标节点的前一个节点进行删除。然而,这种方法效率不高。接着,博主详细解释了一次遍历的双指针策略,通过两个指针同步移动,使得前指针超前N个节点,当前指针到达链表末尾时,后指针正好位于目标节点,从而实现删除操作。这种方法既简洁又高效。

被折叠的 条评论
为什么被折叠?



