第一章绪论
1.通信系统模型;

2.香农信息的概念;
香农信息定义:信息是事物 运动状态或存在方式的不确 定性的描述。
3.信源、信道、信源编码研究的核心问题。
信源:产生消息和消息序列的源。
信道:信号由发送端传输到接收端的媒介。
信源编码的核心问题:哪种编码效率最高(单位时间内传输的消息更多)。
第二章离散信源及信源熵
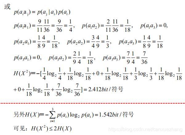
1.离散信息量、联合信息量、条件信息量、互信息量定义;









6.作业:p66:2,4,5,8。
2.同时扔一对均匀的骰子,当得知“两骰子面朝上点数之和为2”或“面朝上点数之和为8”或“两骰子面朝上点数是3和4”时,试问这三种情况分别获得多少信息量?


4…居住在某地区的女孩中有25%是大学生,在女大学生中有75%是身高1.6米以上的,而女孩中身高1.6米以上的占总数一半。 假如我们得知“身高1.6米以上的某女孩是大学生”的消息,问获得多少信息量?







7.本章讲过的例题;











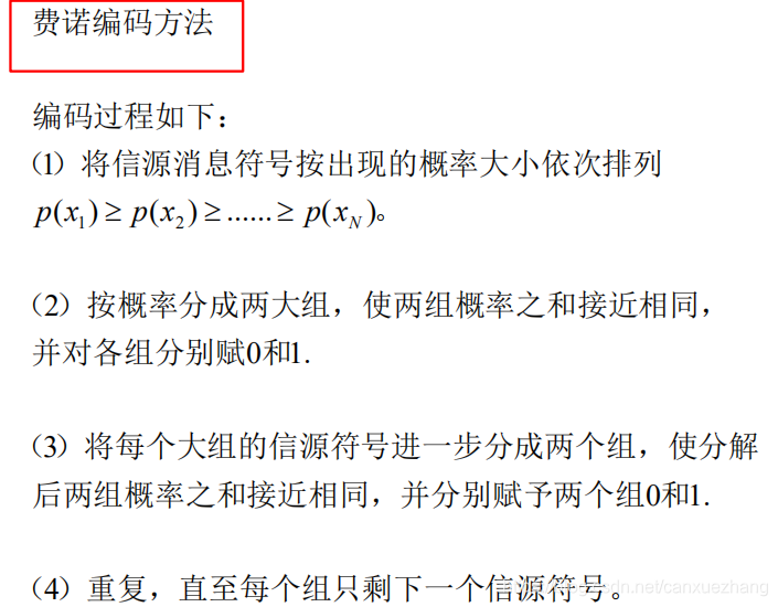
第三章 离散信源的信源编码
















6.作业:p196:3,p197:8,p304:1;p306:11(1)(3);
3、有一信源,它有六个可能的输出,其概率分布如表5.7所示,表中给出工对应的码A,B.C.D.E.和F.


8、


1 

11(1)(3)





上面求编码效率是错误的!!!
应该采取下面解法!!!


7.本章讲过的例题;













第四章 离散信道容量
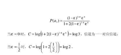
1.利用信道矩阵计算信道容量(离散无噪信道、强对称离散信道、对称离散信道、准对称离散信道);


































2.作业:p121:1,3;p122:11,12;









3.本章讲过的例题;





该博客围绕信息论展开,介绍了通信系统模型、香农信息概念,阐述信源、信道、信源编码核心问题。还讲解离散信源及信源熵相关信息量定义,离散信源的信源编码及编码效率解法,以及利用信道矩阵计算离散信道容量,并给出各章作业和例题。
6万+





