目录
0. 前言
这是字节面试的一道题目
129. 求根节点到叶节点数字之和 - 力扣(LeetCode)
在CodeTop第四页, 属于频率不是很高的一道面试题。
CodeTop是各个公司按照频率进行排序的leetcode算法合集, 特别适合找工作面试。
1. 题目介绍
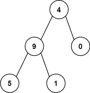
给你一个二叉树的根节点 root ,树中每个节点都存放有一个 0 到 9 之间的数字。
每条从根节点到叶节点的路径都代表一个数字:
计算从根节点到叶节点生成的 所有数字之和 。
示例 :

输入:root = [4,9,0,5,1] 输出:1026 解释: 从根到叶子节点路径4->9->5 代表数字 495从根到叶子节点路径4->9->1 代表数字 491从根到叶子节点路径4->0 代表数字 40因此,数字总和 = 495 + 491 + 40 = 1026
2. 思路
很明显这是一道经典的递归、回溯题,甚至是模板题。
2.1 设置重要变量
回溯模板题 直接无脑设置两个变量:
2.1.1 路径:path
根据类型设置不同的路径类型, 题目需要的是字符串就设置个StringBuilder(电话号码的字母组合),需要一个路径链路或者组合(组合总和 II)就设置成LinkedList。
需要数字就设置int类型, 即本题。
2.1.2 返回结果:result
根据个人习惯, 我喜欢设置成静态类型,懒得在函数里面传递参数,并且递归函数无需返回值。
2.2 递归思路
这道题的递归无需传递深度,开始索引等,因此就传递一个树类型的参数即可。
由于将需要的重要变量设置为了静态类型,因此无需返回值:
public static void dfs(TreeNode root)
递归方向可以选择:
根->左->右(中序)
根->右->左 均可
即在这个节点处理完之后, dfs(左儿子),然后dfs(右儿子)。
一般都考虑中序遍历,习惯了。
2.2.1 更新路径变量
对于整数的拼接,当然是位数增多并且加上新的个位数。
path = path * 10 + root.val;
2.2.2 何时更新结果result变量
很明显当然是本次递归走到了尽头,即当前访问的节点是叶子节点,无儿无女节点。
if (root.left == null && root.right == null)
走到了尽头,返回去之前记得带上你本轮的战利品,把你的path带走。
此时result会加上当前的一串数值,比如示例中的495。
result += path;
2.2.3 回溯最重要的一步
回溯回溯,为什么叫回溯,悬崖勒马,走到了节点尽头,我要返回去一步, return!
这是数值类型的路径变量,直接除了十,去掉个位数即可。
如果是LinkedList或者StringBuilder类型的path, 直接去除最后一个元素即可。
path /= 10;
return;
此时,对于示例的第一步,将左下角的叶子节点“5”扔掉,回到了他爹节点"9"。
此时的path为49。
2.2.4 换儿子
当前的根节点"9"的左儿子"5"已经访问完了,接下来dfs()它的另一个孩子节点"1"。
path再拼接上"1",变为"491"。
path = path * 10 + root.val;
2.2.5 回归父母
此时又遇到了2.2.3 这一步, "1"为叶子节点, 处理完之后就要return。
返回之后, 即它的父节点"9"已经完成了它的任务,将左右节点"5"和"1"都处理完了。
"9"也要回归它的父节点"4", 即此时path还要除以10;
path /= 10;
2.2.6 继续递归
继续递归,知道遍历完整棵树的相对最右下角的节点(根->左->右),当然不是所有节点都是有右孩子节点的,因此是相对最右下角。
2.2.7 代码
/**
* @author: Rehse
* @description: 求根节点到叶节点数字之和
* @date: 2025/7/29
*/
public class Leetcode_129_SumRootToLeafNumbers {
// 定义路径变量
public static int path;
// 定义返回结果
public static int result;
public static int sumNumbers(TreeNode root) {
// 赋初值
path = 0;
result = 0;
// 从根节点开始dfs
dfs(root);
return result;
}
public static void dfs(TreeNode root) {
// 更新路径变量
path = path * 10 + root.val;
if (root.left == null && root.right == null) {
// 带上这一轮的战利品 放进结果变量里面
result += path;
// 叶子节点处理完毕 回溯
path /= 10;
// 可以每一轮都打印出路径和结果变量, 方便排查问题
// System.out.println("path : " + path);
// System.out.println("result : " + result);
return;
}
// 递归访问左孩子节点
dfs(root.left);
// 递归访问右孩子节点
dfs(root.right);
// 两个孩子都访问完毕 回溯
path /= 10;
}
public static void main(String[] args) {
// 构建打印树工具
PrintUtils utils = new PrintUtils(new int[]{4, 9, 0, 5, 1}, 1);
// 打印出树结构
utils.print();
// 获取树结构 放进此题的核心函数内
TreeNode root = utils.getTreeNode();
int res = sumNumbers(root);
System.out.println(res);
}
}
运行下:
这里的打印树结构的工具我有在另一篇文章分享:打印节点(链表或者二叉树)工具-优快云博客

跟示例一样,提交吧。
啊啊啊错啦!

打印出树结构:这棵树比较简单,复杂的树打印出来效果更明显。
PrintUtils utils1 = new PrintUtils(new int[]{0, 1}, 1);
utils1.print();
树的结构是这样的:

哦哦哦,当处理完左孩子节点"1"之后,开始dfs(右孩子"null")
此时进入dfs的更新路径变量这一步:
path = path * 10 + root.val;
它都是空的,哪儿来的val, 因此空指针异常。
我们直接在dfs()函数的第一步就加上判断条件,空节点直接返回。
if(root == null) return ;
再次提交:过啦!

3. 代码
Java:
/**
* @author: Rehse
* @description: 求根节点到叶节点数字之和
* @date: 2025/7/29
*/
public class Leetcode_129_SumRootToLeafNumbers {
// 定义路径变量
public static int path;
// 定义返回结果
public static int result;
public static int sumNumbers(TreeNode root) {
// 赋初值
path = 0;
result = 0;
// 从根节点开始dfs
dfs(root);
return result;
}
public static void dfs(TreeNode root) {
// 空节点直接返回
if(root == null) return ;
// 更新路径变量
path = path * 10 + root.val;
if (root.left == null && root.right == null) {
// 带上这一轮的战利品 放进结果变量里面
result += path;
// 叶子节点处理完毕 回溯
path /= 10;
// 可以每一轮都打印出路径和结果变量, 方便排查问题
// System.out.println("path : " + path);
// System.out.println("result : " + result);
return;
}
// 递归访问左孩子节点
dfs(root.left);
// 递归访问右孩子节点
dfs(root.right);
// 两个孩子都访问完毕 回溯
path /= 10;
}
public static void main(String[] args) {
// 构建打印树工具
PrintUtils utils = new PrintUtils(new int[]{4, 9, 0, 5, 1}, 1);
// 打印出树结构
utils.print();
// 获取树结构 放进此题的核心函数内
TreeNode root = utils.getTreeNode();
int res = sumNumbers(root);
System.out.println(res);
PrintUtils utils1 = new PrintUtils(new int[]{0, 1}, 1);
utils1.print();
}
}
C++:
// 定义路径变量
int path;
// 定义返回结果
int result;
int sumNumbers(TreeNode* root) {
// 赋初值
path = 0;
result = 0;
// 从根节点开始dfs
dfs(root);
return result;
}
void dfs(TreeNode* root) {
// 空节点直接返回
if(root == nullptr) return ;
// 更新路径变量
path = path * 10 + root->val;
if (root->left == nullptr && root->right == nullptr) {
// 带上这一轮的战利品 放进结果变量里面
result += path;
// 叶子节点处理完毕 回溯
path /= 10;
// 可以每一轮都打印出路径和结果变量, 方便排查问题
// cout << "path : " << path << endl;
// cout << "result : " << result << endl;
return;
}
// 递归访问左孩子节点
dfs(root->left);
// 递归访问右孩子节点
dfs(root->right);
// 两个孩子都访问完毕 回溯
path /= 10;
}
JS:
// 定义路径变量
let path;
// 定义返回结果
let result;
function sumNumbers(root) {
// 赋初值
path = 0;
result = 0;
// 从根节点开始dfs
dfs(root);
return result;
}
function dfs(root) {
// 空节点直接返回
if(root == null) return ;
// 更新路径变量
path = path * 10 + root.val;
if (root.left == null && root.right == null) {
// 带上这一轮的战利品 放进结果变量里面
result += path;
// 叶子节点处理完毕 回溯
path = Math.floor(path / 10);
// 可以每一轮都打印出路径和结果变量, 方便排查问题
// console.log("path : " + path);
// console.log("result : " + result);
return;
}
// 递归访问左孩子节点
dfs(root.left);
// 递归访问右孩子节点
dfs(root.right);
// 两个孩子都访问完毕 回溯
path = Math.floor(path / 10);
}
Python:
# 定义路径变量
path = 0
# 定义返回结果
result = 0
def sumNumbers(root):
global path, result
# 赋初值
path = 0
result = 0
# 从根节点开始dfs
dfs(root)
return result
def dfs(root):
global path, result
# 空节点直接返回
if root is None:
return
# 更新路径变量
path = path * 10 + root.val
if root.left is None and root.right is None:
# 带上这一轮的战利品 放进结果变量里面
result += path
# 叶子节点处理完毕 回溯
path //= 10
# 可以每一轮都打印出路径和结果变量, 方便排查问题
# print("path :", path)
# print("result :", result)
return
# 递归访问左孩子节点
dfs(root.left)
# 递归访问右孩子节点
dfs(root.right)
# 两个孩子都访问完毕 回溯
path //= 10
故意在代码留点马脚,使得提交报错,可以很好帮助理解各种情况。
做题基本上很难一次就考虑到所有情况,刚把得!
觉得我的屎山代码有用的话,点个赞么么哒!
25届Java小登刚入职不久,每天回家继续提升自己能力,长期坚持终有成效,
每次写完博客,都是半夜一两点,过几秒就看到好几百访问量,希望半夜努力的你一定能够变成更完美的自己!晚安好梦~~
622

被折叠的 条评论
为什么被折叠?



