
目录
2. K 个一组翻转链表 ★★★
3. 三角形最小路径和 ★★
1. 移除链表元素
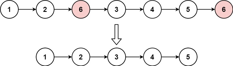
给你一个链表的头节点 head 和一个整数 val ,请你删除链表中所有满足 Node.val == val 的节点,并返回 新的头节点 。
示例 1:

输入:head = [1,2,6,3,4,5,6], val = 6 输出:[1,2,3,4,5]
示例 2:
输入:head = [], val = 1 输出:[]
示例 3:
输入:head = [7,7,7,7], val = 7 输出:[]
提示:
- 列表中的节点数目在范围
[0, 104]内 1 <= Node.val <= 500 <= val <= 50
代码:
class ListNode:
def __init__(self, x):
self.val = x
self.next = None
class Solution(object):
def removeElements(self, head, val):
"""
:type head: ListNode
:type val: int
:rtype: ListNode
"""
p = ListNode(0)
p.next = head
while p.next:
if p.next.val == val:
if p.next == head:
head = head.next
p.next = head
else:
p.next = p.next.next
else:
p = p.next
return head
# %%
class LinkList:
def __init__(self):
self.head = None
def initList(self, data):
if not data: return None
self.head = ListNode(data[0])
p = head = self.head
for i in data[1:]:
node = ListNode(i)
p.next = node
p = p.next
return head
def showList(self, head):
if head:
print(head.val, end = '->')
self.showList(head.next)
else:
print('null')
if __name__ == '__main__':
s = Solution()
l = LinkList()
head = l.initList([1,2,6,3,4,5,6])
l.showList(head)
head = s.removeElements(head, 6)
l.showList(head)
输出:
1->2->6->3->4->5->6->null
1->2->3->4->5->null
2. K 个一组翻转链表
给你一个链表,每 k 个节点一组进行翻转,请你返回翻转后的链表。
k 是一个正整数,它的值小于或等于链表的长度。
如果节点总数不是 k 的整数倍,那么请将最后剩余的节点保持原有顺序。
进阶:
- 你可以设计一个只使用常数额外空间的算法来解决此问题吗?
- 你不能只是单纯的改变节点内部的值,而是需要实际进行节点交换。
示例 1:

输入:head = [1,2,3,4,5], k = 2 输出:[2,1,4,3,5]
示例 2:

输入:head = [1,2,3,4,5], k = 3 输出:[3,2,1,4,5]
示例 3:
输入:head = [1,2,3,4,5], k = 1 输出:[1,2,3,4,5]
示例 4:
输入:head = [1], k = 1 输出:[1]
提示:
- 列表中节点的数量在范围
sz内 1 <= sz <= 50000 <= Node.val <= 10001 <= k <= sz
代码:
class ListNode(object):
def __init__(self, x):
self.val = x
self.next = None
class LinkList:
def __init__(self):
self.head = None
def initList(self, data):
self.head = ListNode(data[0])
r=self.head
p = self.head
for i in data[1:]:
node = ListNode(i)
p.next = node
p = p.next
return r
def convert_list(self,head):
ret = []
if head == None:
return
node = head
while node != None:
ret.append(node.val)
node = node.next
return ret
class Solution(object):
def reverseKGroup(self, head, k):
if head is None:
return None
index = 0
lead, last = 0, 0
pos = head
temp = ListNode(-1)
temp.next = head
head = temp
start = head
while pos is not None:
if index % k == k - 1:
last = pos.next
start = self.reverseList(start, last)
pos = start
pos = pos.next
index += 1
return head.next
def reverseList(self, head, end):
pos = head.next
last = end
next_start = pos
while pos != end:
head.next = pos
last_pos = pos
pos = pos.next
last_pos.next = last
last = last_pos
return next_start
# %%
l = LinkList()
head = [1,2,3,4,5]
l1 = l.initList(head)
s = Solution()
print(l.convert_list(s.reverseKGroup(l1, k = 2)))
l2 = l.initList(head)
print(l.convert_list(s.reverseKGroup(l2, k = 3)))
输出:
[2, 1, 4, 3, 5]
[3, 2, 1, 4, 5]
3. 三角形最小路径和
给定一个三角形 triangle ,找出自顶向下的最小路径和。
每一步只能移动到下一行中相邻的结点上。相邻的结点 在这里指的是 下标 与 上一层结点下标 相同或者等于 上一层结点下标 + 1 的两个结点。也就是说,如果正位于当前行的下标 i ,那么下一步可以移动到下一行的下标 i 或 i + 1 。
示例 1:
输入:triangle = [[2],[3,4],[6,5,7],[4,1,8,3]] 输出:11 解释:如下面简图所示: 2 3 4 6 5 7 4 1 8 3 自顶向下的最小路径和为 11(即,2 + 3 + 5 + 1 = 11)。
示例 2:
输入:triangle = [[-10]] 输出:-10
提示:
1 <= triangle.length <= 200triangle[0].length == 1triangle[i].length == triangle[i - 1].length + 1-10^4 <= triangle[i][j] <= 10^4
进阶:
- 你可以只使用
O(n)的额外空间(n为三角形的总行数)来解决这个问题吗?
代码:
class Solution(object):
def minimumTotal(self, triangle):
"""
:type triangle: List[List[int]]
:rtype: int
"""
n = len(triangle)
dp = triangle[-1]
for i in range(n - 2, -1, -1):
for j in range(i + 1):
dp[j] = triangle[i][j] + min(dp[j], dp[j + 1])
#print(dp)
return dp[0]
if __name__ == '__main__':
s = Solution()
triangle = [[2],[3,4],[6,5,7],[4,1,8,3]]
print(s.minimumTotal(triangle))
print(s.minimumTotal([[-10]]))
输出:
11
-10
附录
单链表
以“结点的序列”表示线性表称作线性链表(单链表),单链表是链式存取的结构。
链表中的数据是以结点来表示的,每个结点的构成:元素(数据元素的映象) + 指针(指示后继元素存储位置),元素就是存储数据的存储单元,指针就是连接每个结点的地址数据。
存储方法
链接方式存储的线性表简称为链表(Linked List)。
链表的具体存储表示为:
① 用一组任意的存储单元来存放线性表的结点(这组存储单元既可以是连续的,也可以是不连续的)
② 链表中结点的逻辑次序和物理次序不一定相同。为了能正确表示结点间的逻辑关系,在存储每个结点值的同时,还必须存储指示其后继结点的地址(或位置)信息(称为指针(pointer)或链(link))
链式存储是最常用的存储方式之一,它不仅可用来表示线性表,而且可用来表示各种非线性的数据结构。
结点结构
data域--存放结点值的数据域
next域--存放结点的直接后继的地址(位置)的指针域(链域)
链表通过每个结点的链域将线性表的n个结点按其逻辑顺序链接在一起的,每个结点只有一个链域的链表称为单链表(Single Linked List)。
头指针head和尾结点
单链表中每个结点的存储地址是存放在其前趋结点next域中,而开始结点无前趋,故应设头指针head指向开始结点。链表由头指针唯一确定,单链表可以用头指针的名字来命名。终端结点无后继,故尾结点的指针域为空,即NULL。

文章介绍了如何在链表中实现移除特定值的元素,K个一组翻转链表以及计算三角形自顶向下的最小路径和。提供的Python代码展示了具体实现这些操作的方法。
8万+





