目录
1. 旋转图像
给定一个 n × n 的二维矩阵 matrix 表示一个图像。请你将图像顺时针旋转 90 度。
你必须在原地旋转图像,这意味着你需要直接修改输入的二维矩阵。请不要 使用另一个矩阵来旋转图像。
示例 1:

输入:matrix = [[1,2,3],[4,5,6],[7,8,9]] 输出:[[7,4,1],[8,5,2],[9,6,3]]
示例 2:

输入:matrix = [[5,1,9,11],[2,4,8,10],[13,3,6,7],[15,14,12,16]] 输出:[[15,13,2,5],[14,3,4,1],[12,6,8,9],[16,7,10,11]]
示例 3:
输入:matrix = [[1]] 输出:[[1]]
示例 4:
输入:matrix = [[1,2],[3,4]] 输出:[[3,1],[4,2]]
提示:
matrix.length == nmatrix[i].length == n1 <= n <= 20-1000 <= matrix[i][j] <= 1000
源代码:
class Solution(object):
def rotate(self, matrix):
if matrix is None or len(matrix) == 1:
return matrix
ls = len(matrix)
for i in range(int(ls / 2)):
begin, end = i, ls - 1 - i
for k in range(ls - 2 * i - 1):
temp = matrix[end - k][begin]
matrix[end - k][begin] = matrix[end][end - k]
matrix[end][end - k] = matrix[begin + k][end]
matrix[begin + k][end] = matrix[begin][begin + k]
matrix[begin][begin + k] = temp
return matrix
if __name__ == "__main__":
s = Solution()
print(s.rotate([[1,2,3],[4,5,6],[7,8,9]]))
print(s.rotate([[5,1,9,11],[2,4,8,10],[13,3,6,7],[15,14,12,16]]))
print(s.rotate([[1]]))
print(s.rotate([[1,2],[3,4]]))
输出:
[[7, 4, 1], [8, 5, 2], [9, 6, 3]]
[[15, 13, 2, 5], [14, 3, 4, 1], [12, 6, 8, 9], [16, 7, 10, 11]]
[[1]]
[[3, 1], [4, 2]]
2. 解码方法
一条包含字母 A-Z 的消息通过以下映射进行了 编码 :
'A' -> 1 'B' -> 2 ... 'Z' -> 26
要 解码 已编码的消息,所有数字必须基于上述映射的方法,反向映射回字母(可能有多种方法)。例如,"11106" 可以映射为:
"AAJF",将消息分组为(1 1 10 6)"KJF",将消息分组为(11 10 6)
注意,消息不能分组为 (1 11 06) ,因为 "06" 不能映射为 "F" ,这是由于 "6" 和 "06" 在映射中并不等价。
给你一个只含数字的 非空 字符串 s ,请计算并返回 解码 方法的 总数 。
题目数据保证答案肯定是一个 32 位 的整数。
示例 1:
输入:s = "12" 输出:2 解释:它可以解码为 "AB"(1 2)或者 "L"(12)。
示例 2:
输入:s = "226" 输出:3 解释:它可以解码为 "BZ" (2 26), "VF" (22 6), 或者 "BBF" (2 2 6) 。
示例 3:
输入:s = "0" 输出:0 解释:没有字符映射到以 0 开头的数字。含有 0 的有效映射是 'J' -> "10" 和 'T'-> "20" 。由于没有字符,因此没有有效的方法对此进行解码,因为所有数字都需要映射。
示例 4:
输入:s = "06" 输出:0 解释:"06" 不能映射到 "F" ,因为字符串含有前导 0("6" 和 "06" 在映射中并不等价)。
提示:
1 <= s.length <= 100s只包含数字,并且可能包含前导零。
源代码:
class Solution(object):
def numDecodings(self, s:str) -> int:
ls = len(s)
if ls == 0:
return 0
dp = [0] * ls
for index in range(ls):
if index >= 1 and int(s[index - 1:index + 1]) < 27 and int(s[index - 1:index + 1]) >= 10:
if index == 1:
dp[index] = 1
else:
dp[index] += dp[index - 2]
if int(s[index]) != 0:
if index == 0:
dp[index] = 1
else:
dp[index] += dp[index - 1]
return dp[ls - 1]
s = Solution()
print(s.numDecodings(s = "12"))
print(s.numDecodings(s = "226"))
print(s.numDecodings(s = "0"))
print(s.numDecodings(s = "06"))
输出:
2
3
0
0
3. 二叉树最大路径和
路径 被定义为一条从树中任意节点出发,沿父节点-子节点连接,达到任意节点的序列。同一个节点在一条路径序列中 至多出现一次 。该路径 至少包含一个 节点,且不一定经过根节点。
路径和 是路径中各节点值的总和。
给你一个二叉树的根节点 root ,返回其 最大路径和 。
示例 1:

输入:root = [1,2,3] 输出:6 解释:最优路径是 2 -> 1 -> 3 ,路径和为 2 + 1 + 3 = 6
示例 2:

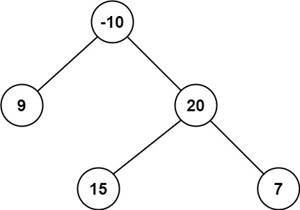
输入:root = [-10,9,20,null,null,15,7] 输出:42 解释:最优路径是 15 -> 20 -> 7 ,路径和为 15 + 20 + 7 = 42
提示:
- 树中节点数目范围是
[1, 3 * 104] -1000 <= Node.val <= 1000
源代码:
class TreeNode:
def __init__(self, val=None):
self.val = val
self.left = None
self.right = None
def Build(root, nodesList, i=0):
if i < len(nodesList):
if nodesList[i]:
root = TreeNode(nodesList[i])
root.left = Build(root.left, nodesList, 2*i+1)
root.right = Build(root.right, nodesList, 2*i+2)
return root
class Solution:
def __init__(self):
self.result = float("-inf")
def maxPathSum(self, root: TreeNode) -> int:
if root == None:
return 0
self.getMax(root)
return self.result
def getMax(self, root):
if root == None:
return 0
left = max(0, self.getMax(root.left))
right = max(0, self.getMax(root.right))
self.result = max(self.result, left + right + root.val)
return max(left, right) + root.val
s = Solution()
tree = TreeNode()
root = Build(tree, [1,2,3])
print(s.maxPathSum(root))
root = Build(tree, [-10,9,20,None,None,15,7]) #null在python语言中表示为None
print(s.maxPathSum(root))
输出:
6
42

文章提供了三种算法的实现:1)顺时针旋转二维矩阵;2)计算编码字符串的解码方法数量;3)在二叉树中找到最大路径和。这些算法均使用Python编写,展示了数据结构和算法在处理图像处理和编码问题中的应用。

3万+





