一、inode与block概述
文件是存储在硬盘上的,硬盘的最小存储单位叫做“扇区”,每个扇区存储512 字节。操作系统读取硬盘的时候,不会一个个扇区地读取,这样效率太低,而是一次性连续读取多个扇区,即一次性读取一个"块"。这种由多个扇区组成的"块",是文件 存取的最小单位。"块"的大小,最常见的是 4KB,即连续八个 sector 组成一个 block。文件数据存储在“块”中,那么还必须找到一个地方存储文件的元信息,比如文件的创建者、文件的创建日期、文件的大小等等。这种存储文件元信息的区域就叫做inode,中文译名为“索引节点”,也叫 i 节点。因此一个文件必须占用一个inode,但至少占用一个block。
二、inode的内容
inode 包含很多的文件元信息
1.文件的字节数
2.文件拥有者的 User ID
3.文件的 Group ID
4.文件的读、写、执行权限
5.文件的时间戳
如图我们执行“stat aaa.txt”来查看该晚间的inode信息。
上图所示在Linux 系统文件有三个主要的时间属性,分别是ctime(change time)是最后一次改变文件或目录(属性)的时间; atime(access time)是最后一次访问文件或目录的时间;mtime(modify time)是最后一次修改文件或目录(内容)的时间。
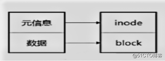
然而在indoe中不包括文件的名称,文件名存放于目录中。目录也是一种文件,目录文件的结构如下图,每一行称为一个目录项。

inode是Linux文件系统中的重要组成部分,用于存储文件的元信息,如权限、所有者、时间戳等,而不包含文件名。inode号码是识别文件的内部方式,通过文件名查找对应的inode号码以访问文件。inode大小和总数在格式化时确定,其特殊作用包括文件删除、移动和重命名。了解inode有助于深入理解Linux文件系统的运作。
最低0.47元/天 解锁文章

1266

被折叠的 条评论
为什么被折叠?



