堆的概念与特征 (Heap)
堆是将一组数据按照完全二叉树的存储顺序,将数据存储在一个一维数组中的结构。堆有两种结构,一种称为大顶堆,一种称为小顶堆

关于大小堆的相关事项
- 小顶堆:任意节点的值均小于等于它的左右孩子,并且最小的值位于堆顶,即根节点处。
- 大顶堆:任意节点的值均大于等于它的左右孩子,并且最大的值位于堆顶,即根节点处。 有些地方也叫大根堆、小根堆,或者最大堆、最小堆都一个意思。大和小的特征等都是类似的,只是比较的时候是按照大还是小来定,我们本章在原理方面的介绍就按照最大堆来进行,后面的题目再根据情况来定。
相关规则
假设某一个节点的下标是 i
parent(i) = floor((i - 1)/2)
left(i) = 2i + 1
right(i) = 2i + 2
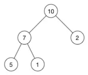
如果这个例子是这样的:[ 10, 7, 2, 5, 1 ]
对应的结构是这样的


图片来源:https://github.com/kodecocodes/swift-algorithm-club/tree/master/Heap
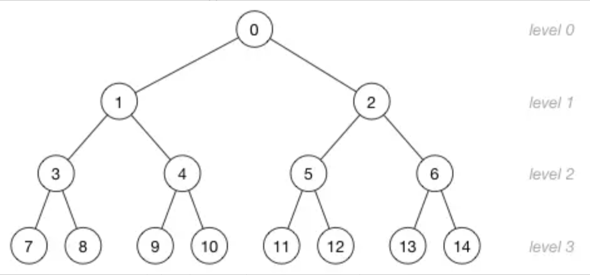
理解数组索引和节点位置之间

图中的数字不是节点的值,而是存储节点的数组索引!下面是对应树的不同层次的数组索引:

图片来源:https://github.com/kodecocodes/swift-algorithm-club/tree/master/Heap
堆删除操作
对堆中的数据进行操作都是针对堆顶的元素

结果就是下面的这种

本文介绍了堆(包括大顶堆和小顶堆)的概念,它们的特征以及如何通过数组索引表示。重点讲解了节点关系和删除操作对堆顶元素的影响。
820

被折叠的 条评论
为什么被折叠?



