树的基本概念
定义
树是n(n>=0)个结点的有限集。n=0时称为空树。在任意一颗非空树中有如下特点:
①有且仅有一个特定的、称为根(Root)的结点;
②当n>1时,其余结点可分为m(m>0)个互不相交的有限集T1、T2、......、Tn,其中每一个集合本身又是一棵树,并且称为根的子树。
结点的度
结点拥有的子树数目称为结点的度
结点关系
结点子树的根结点为该结点的孩子结点。相应该结点称为孩子结点的双亲结点。
同一个双亲结点的孩子结点之间互称兄弟结点。
结点层次
从根开始定义起,根为第一层,根的孩子为第二层,以此类推。
树的深度
树中结点的最大层次数称为树的深度或高度
二叉树
二叉树是n(n>=0)个结点的有限集合,该集合或者为空集(称为空二叉树),或者由一个根结点和两棵互不相交的、分别称为根结点的左子树和右子树组成。
说白了就是:结点的度最大为2
特点
二叉树有以下特点:
①每个结点最多有两颗子树,所以二叉树中不存在度大于2的结点。
②左子树和右子树是有顺序的,次序不能任意颠倒。
③即使树中某结点只有一棵子树,也要区分它是左子树还是右子树。
性质
①在二叉树的第i层上最多有2^(i-1) 个节点。(i>=1)
推理过程:
第一层:最多1个节点
第二层:最多2个节点
第三层:最多4个节点
也就是说每一层节点(最多)数量就是上一层节点(最多)数据 * 2
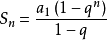
作为等比数列可以看看:2^0 + 2^1 + 2^2 + ....... + 2^(i-1)
根据等比数列的通项公式是:![]()
,这里的q=2,a1=1,因此通项公式就是:2^(i-1)
②二叉树中如果深度为k,那么最多有(2^k)-1个节点。(k>=1)
推理过程:
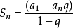
等比求和:![]()
当q≠1时,
或 ![]()
,这里推导一下:
由于q=2,因此Sn = - a1(1-2^k) = -a1 + 2^k = 2^k - a1 = 2^k - 1
③n0 = n2 + 1,n0表示度数为0的节点数,n2表示度数为2的节点数。
推理过程:
n0表示度数为0的节点,也就是n0表示没有子节点的节点,n2表示有左右2个子树的节点,那么,假如一颗tree的深度为k,那么第k层的最多节点数量应该是:2^(k-1) = 2^k / 2个,除去第k层,那么1-k-1层的节点数量最多是(2^(k-1))-1 = 2^k / 2 - 1
n0节点数(单层)是:2^(k-1) = 2^k / 2
n2节点数(tree总和)是:(2^(k-1))-1 = 2^k / 2 - 1,即n2 = n0 - 1,
转换过来就是:n0 = n2 + 1
④在完全二叉树中,具有n个节点的完全二叉树的最小深度为[log2n]+1,其中[log2n]是向下取整。
推理过程:
什么叫做完全二叉树,或者,完全二叉树定义是什么?
答:①该树非最后一层的结点都是满的;②最后一层的叶结点必须集中到左边。
通俗来讲就是:倒数第二层的结点必须有左结点。
那么深度为K的二叉树,其结点最多就是:(2^k)-1个节点
那么深度为K的完全二叉树,其第(K-1)层都是满的,因此(K-1)层总和就是:(2^(k-1))-1,假如第K层就1个节点,这就是该完全二叉树的最小深度了,就是:n = (2^(k-1))-1 + 1 = 2^(k-1)。
n=2^(k-1),k-1 = log2N,k = log2N + 1,这里的最后1层只有一个节点的情况下推导出来的k = log2N + 1
⑤若对含 n 个节点的完全二叉树从上到下、从左至右进行 1 至 n 的编号,则对完全二叉树中任意一个编号为 i 的结点有如下特性:
(1) 若 i=1,则该结点是二叉树的根,无双亲, 否则,编号为 [i/2] 的结点为其双亲结点;
(2) 若 2i>n,则该结点无左孩子, 否则,编号为 2i 的结点为其左孩子结点;
(3) 若 2i+1>n,则该结点无右孩子结点, 否则,编号为2i+1 的结点为其右孩子结点。
推理过程:
本人目前2019年11月19日17:21:25能力有限,推导不出来
斜树
所有的结点都只有左子树的二叉树叫左斜树。所有结点都是只有右子树的二叉树叫右斜树。这两者统称为斜树。
满二叉树
在一棵二叉树中。如果所有分支结点都存在左子树和右子树,并且所有叶子都在同一层上,这样的二叉树称为满二叉树。
满二叉树的特点有:
①叶子只能出现在最后一层。出现在其它层就不可能达成平衡。
②非叶子结点的度一定是2。
3)在同样深度的二叉树中,满二叉树的结点个数最多,叶子数最多。
(感觉可以左右对称了)
完全二叉树
对一颗具有n个结点的二叉树按层编号,如果编号为i(1<=i<=n)的结点与同样深度的满二叉树中编号为i的结点在二叉树中位置完全相同,则这棵二叉树称为完全二叉树。
特点:
①叶子结点只能出现在最后一层和倒数第2层。
②最下层的叶子结点集中在树的左部。
③倒数第二层若存在叶子结点,一定在右部连续位置。
④如果结点度为1,则该结点只有左孩子,即没有右子树。
⑤同样结点数目的二叉树,完全二叉树深度最小。
注:满二叉树一定是完全二叉树,但反过来不一定成立。
说白了就是除了最后一层,完全二叉树就是满二叉树。而最后一层的叶子节点集中在整个左侧树。
二叉树的存储结构
顺序存储
二叉树的顺序存储结构就是使用一维数组存储二叉树中的结点,并且结点的存储位置,就是数组的下标索引。
说白了就是对二叉树从上到下、从左到右依次编号,编号正好对应一维数组的索引。
二叉链表
由二叉树定义可知,二叉树的每个结点最多有两个孩子。因此,可以将结点数据结构定义为一个数据和两个指针域。表示方式如图所示:

采用一种链表结构存储二叉树,这种链表称为二叉链表。
二叉树遍历
前,中,后序遍历只是指父节点遍历的顺序
前序遍历
父节点->左子树->右子树
对于树中的任意节点来说,先打印这个节点,然后再打印它的左子树,最后打印它的右子树。
中序遍历
左子树->父节点->右子树
对于树中的任意节点来说,先打印它的左子树,然后再打印它的本身,最后打印它的右子树。
后序遍历
左子树 -> 右子树 ->父节点
对于树中的任意节点来说,先打印它的左子树,然后再打印它的右子树,最后打印它本身。
层序遍历
层次遍历就是按照树的层次自上而下的遍历二叉树
平衡二叉树
产生原因
二叉搜索树有一个缺点,在插入数据是有序的序列(包括升序和降序),会导致二叉树退化成链表,从而导致在查找,删除,添加时的性能均从O(logN)降低为O(N)
二叉排序树
定义:或者是一颗空树,或者是一颗具有如下性质的树:
1)若左子树不为空,那么左子树上面的所有节点的关键字值都比根节点的关键字值小
2)若右子树不为空,那么右子树上面的所有节点的关键字值都比根节点的关键字值大
3)左右子树都为二叉树
4)没有重复值,这个在实际操作中有点难度
特点
平衡二叉树本质上是特殊的二叉搜索树(二叉排序树),它具有二叉搜索树所有的特点,此外它有自己的特别的性质,如下:
①它是一棵空树或它的左右两个子树的高度差的绝对值不超过1;
②平衡二叉树的左右两个子树都是一棵平衡二叉树。
什么是平衡因子
平衡因子指的是,平衡二叉树在保持平衡的时候,是通过平衡因子来判断的。
节点的平衡因子 = 该节点的左子树的高度 - 该节点右子树的高度。
只有当值等于-1(右子树的高度大),0(左右子树的高度相等),1(左子树的高度大)的时候,能够代表该子树是平衡的除此之外,就认为该节点已经失衡了,需要旋转来维持平衡,
平衡二叉树的旋转分类
左旋转
右斜树向左旋转,升序适合左旋转
右旋转
左斜树向右旋转,降序适合右旋转
左右旋转
先左旋转,然后再右旋转
(右侧失衡,则先左后右旋转)
右左旋转
先右旋转,然后再左旋转
个人感想(不一定准确)
例如:右侧失衡,说明右面缺少树,鉴于右侧树任意节点均比父节点/根节点节点大,那怎么处理呢?
第一步:目前该树的父节点/根节点必须变成右子树,因为左子树所有节点都比目前父节点/根节点小,为了满足二叉排序树,必须把目前的父节点/根节点变成右子树,左子树某个节点变成未来的父节点/根节点。
第二步:如果想把父节点/根节点变成右子树,则必须把目前左子树变成降序排序,然后再以某个节点为圆心进行右旋
只有变成降序再去右旋,才能保证既是排序树,同时又是平衡二叉树。
B树
①每个节点最多有m个子节点;
②每个非叶节点(根除外)至少有[m / 2]个子节点;
③非叶子根节点至少有两个子节点;
④一个包含k个子节点的父节点包含(k-1)个密钥;
⑤所有叶节点出现在同一层;
1681

被折叠的 条评论
为什么被折叠?



