逻辑回归(Logistic Regression)在20世纪早期的生物科学得到应用,广泛应用与很多社会科学,很多事物发展的规律符合逻辑回归曲线。
本文介绍的逻辑回归应用于分类任务,即目标变量是分类变量。
比如:
预测邮件是否是垃圾邮件(1)或(0)
预测肿瘤是否是恶性肿瘤(1)或(0)
其中1和0分别表示是和否。
考虑这样一个常见,我们需要对电子邮件是否属于垃圾邮件进行分类。如果我们对这类问题使用线性回归,就需要设置一个阈值,根据这个阈值可以进行分类。假设实际类为恶性,预测连续值为0.4,阈值为0.5,则该数据点被归为非恶性肿瘤,这种模型会导致严重的后果。
从这个例子可以看出,线性回归不适合分类问题,线性回归是无界限的,因此引入了逻辑回归,逻辑回归的界限值为0到1。
1.逻辑回归模型
输出 : 0 或 1
模型的假设函数:


其中Sigmoid函数为:

用图形表示:

由公式可知,如果变量 Z 趋向于无穷大,那么预测变量 Y 等于1;如果变量 Z 趋向于负无穷大,预测变量 Y 等于0。
2.模型的假设函数分析
假设函数输出变量的含义是预测概率,用来推断在给定输入值X时,预测值与真实值的置信度。
考虑如下例子,预测邮件是否是垃圾邮件,给定如下输入变量:

基于输入变量 x1 的值,假设我们得到的估计概率是0.8,也就是说属于垃圾邮件的概率是0.8。
数学上可以写成:

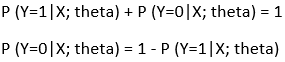
含义为:模型参数为 ,给定输入变量X,输出变量Y等于1的概率。
对于二分类模型来说,由上式可以推导如下等式:

这就证明了“逻辑回归”这个名称的合理性。首先将数据拟合到线性回归模型中,然后通过逻辑函数预测目标标量。
3.逻辑回归类型
1. 二元逻辑回归
目标变量只有两个可能的结果,例如:是否是垃圾邮件
2. 无序多项逻辑回归
目标变量是三个或三个以上的类别,与顺序无关,例如:预测哪种食物更受欢迎(素食,非素食,纯素食)
3. 有序多项逻辑回归
目标变量是三个或三个以上的类别,与顺序有关,例如:预测电影评分,从1颗星到5颗星。
4.决策边界
为了预测数据属于哪一类,可以设置一个阈值,比较预测的估计概率和阈值,得到分类结果。
逻辑回归的阈值常常设置为0.5,也就是说,如果预测的估计概率 ≥ 0.5时,则属于垃圾邮件,反之则不属于垃圾邮件。
决策边界可以是线性的也可以是非线性,多项式阶数的增加可以得到复杂的决策边界,我们可以用支持向量机的核函数来理解。
5.损失函数
逻辑回归的损失函数为:

线性回归使用均方误差作为其损失函数,为什么逻辑回归不使用均方差?
因为若使用均方误差作为逻辑回归的损失函数,那么该函数是非凸函数。若损失函数是非凸函数(Non-convex)时,梯度下降算法可能收敛局部极小值;损失函数是凸函数(Convex)时,梯度下降算法收据全局最小值。如下图:

损失函数详细解释

如果真实目标变量等于1,即:

对应的图形如下:

如果真实目标变量等于0,即:

对应的图形如下:

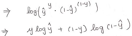
结合上面的介绍,逻辑回归损失函数简化为:

如果y=1时,损失函数为:

如果y=0时,损失函数为:

6.为什么使用这个损失函数
我们假设
是给定输入变量 x ,输出变量 y 为1的概率,即:

那么输出变量y为0的概率:

根据上面两式,可得模型输出变量y的概率为:

上式是不是有点眼熟,其实上式就是似然函数的定义。
我们对上式取对数,得:

这个式子和我们前面介绍过的损失函数是相反数,即:

因此,逻辑回归最大化似然函数等价于最小化损失函数,这就是我们为什么使用这个损失函数的原因。
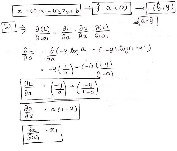
7.逻辑回归模型的求解过程
我们使用梯度下降法求解模型的最优参数:

上图知道了不同变量的梯度表达式,因此损失函数的参数梯度为:

逻辑回归模型的Python实现:
def weightInitialization(n_features):
w = np.zeros((1,n_features))
b = 0
return w,b
def sigmoid_activation(result):
final_result = 1/(1+np.exp(-result))
return final_result
def model_optimize(w, b, X, Y):
m = X.shape[0]
#Prediction
final_result = sigmoid_activation(np.dot(w,X.T)+b)
Y_T = Y.T
cost = (-1/m)*(np.sum((Y_T*np.log(final_result)) + ((1-Y_T)*(np.log(1-final_result)))))
#
#Gradient calculation
dw = (1/m)*(np.dot(X.T, (final_result-Y.T).T))
db = (1/m)*(np.sum(final_result-Y.T))
grads = {"dw": dw, "db": db}
return grads, cost
def model_predict(w, b, X, Y, learning_rate, no_iterations):
costs = []
for i in range(no_iterations):
#
grads, cost = model_optimize(w,b,X,Y)
#
dw = grads["dw"]
db = grads["db"]
#weight update
w = w - (learning_rate * (dw.T))
b = b - (learning_rate * db)
#
if (i % 100 == 0):
costs.append(cost)
#print("Cost after %i iteration is %f" %(i, cost))
#final parameters
coeff = {"w": w, "b": b}
gradient = {"dw": dw, "db": db}
return coeff, gradient, costs
def predict(final_pred, m):
y_pred = np.zeros((1,m))
for i in range(final_pred.shape[1]):
if final_pred[0][i] > 0.5:
y_pred[0][i] = 1
return y_pred损失函数与迭代次数的关系:

此Python实现是用于二元逻辑回归,对于超过两个类的数据,我们建议使用softmax回归。
本文介绍了逻辑回归的基本原理及其在分类任务中的应用。探讨了逻辑回归模型如何通过Sigmoid函数映射连续值到0到1区间,适用于预测邮件是否为垃圾邮件等场景。并详细解释了逻辑回归的损失函数选择及求解过程。
584

被折叠的 条评论
为什么被折叠?



