一 递归算法
1 生活中的问题
- 解决程序中特殊的复杂的一些小问题,使代码变得更加简洁。
- 文件夹查找,一层一层往下找指定名称的文件。
- 可以解决各种数学问题,汉若塔,迷宫问题, 8皇后问题等等。各种算法的递归,如快排,归并排序,二分查找,分治算法等。
- 比较少用
2 解决方案:递归算法(有递 》终点 》有归,即有去 》终点 》有回)
3 官网配置:高效
(1)思想、流原
- 白话版1:小时候某些词的意思你不懂,要去查看新华字典。第一次查看得到第一种解释,你看不懂解释中的某些字。第二次,你又得查第一次解释中不懂的字词的意思。第三次,你得查看第二次解释中不懂的字词。第四次...。第五次......(递)。终于(条件尽头)都懂了,然后把前面n次查询得到的结果从后往前整合(归),得到这个词最终的解释。这就是我们常用的递归查找算法。
- 把问题分解成多个同一类型的子问题,子问题是一个函数。
- 确定第一个函数参数
- 函数自己调用自己,每次调用时传入的参数是不同的。
-
函数执行遇到return,遵守谁调用就将结果返回给谁。
-
直到条件尽头。
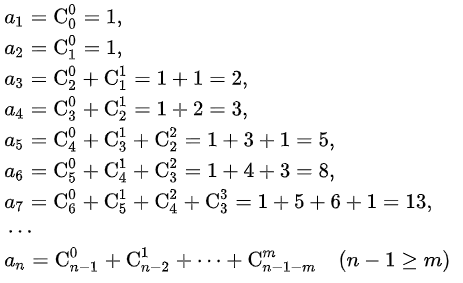
(2)案例1:斐波那契数列 1 1 2 3 5 8 13 21 34 55 89 144
规律:

代码:
package com.bjpowernode.rabbitmq.config;
//斐波那契数列 1 1 2 3 5 8 13 21 34 55 89 144
public class Test {
public static int fun (int num){
if(num == 1){ // 初始条件
return 1;
}else if(num == 2){ // 初始条件
return 1;
}else {
return fun(num - 2) + fun(num - 1); // 结束条件
}
}
public static void main(String[] args) {
for (int i = 1; i <= 10; i++){// 打印10个数
System.out.println(fun(i));
}
}
}
(3)案例2:迷宫
规律:

代码:
package com.bjpowernode.rabbitmq.config;
/**
* author:韩国庆
* date:2021/2/27 16:46
* version:1.0
*/
public class Maze {
public static void main(String[] args) {
int[][] map = new int[8][7];
/**
* 使用编号1表示上下左右都是墙
*/
for (int i=0;i<7;i++){
map[0][i] = 1;
map[7][i] = 1;
}
for (int i=0;i<8;i++){
map[i][0] = 1;
map[i][6] = 1;
}
//设置阻挡墙
map[3][1] = 1;
map[3][2] = 1;
System.out.println("输出地图情况");
for (int i=0;i<8;i++){
for (int j=0;j<7;j++){
System.out.print(map[i][j]+" ");
}
System.out.println();
}
getRoute(map,1,1);
//getRoute2(map,1,1);
System.out.println("小球标识走过的地图情况");
for (int i=0;i<8;i++){
for (int j=0;j<7;j++){
System.out.print(map[i][j]+" ");
}
System.out.println();
}
}
/**
* 回溯思想
* 1、map对象表示地图
* 2、i和j表示从那个位置出发 (1,1)
* 3、如果小球能到map[6][5]位置,则说明通路已经找到
* 4、当map[i][j]为0时,表示该点没有走过,当为1时表示墙,当时2时表示通过可以走,当时3时该点已经走过,
* 但是走不通。
* 5、走迷宫时,需要确定一个策略方法,下,右,上,左,如果该点走不通再回溯。
*
*/
public static boolean getRoute(int[][] map,int i,int j){
if (map[6][5] == 2){
return true;
}else {
if (map[i][j] == 0){//如果没有走过该点
//按照策略走,下,右,上,左
map[i][j] = 2;
if (getRoute(map,i+1,j)){ //往下走
return true;
}else if (getRoute(map,i,j+1)){ //往右走
return true;
}else if (getRoute(map,i-1,j)){
return true;
}else if (getRoute(map,i,j-1)){
return true;
}else {
//说明该路是死路,走不通
map[i][j] = 3;
return false;
}
}else {//如果map[i][j]不是0,而是1,2,3呢
return false;
}
}
}
public static boolean getRoute2(int[][]map,int i,int j){
if (map[6][5] == 2){
return true;
}else{
if (map[i][j] == 0){//表示该路没有走过
map[i][j] = 2;//假设该点是可以通走的
if (getRoute(map,i-1,j)){//上
return true;
}else if (getRoute(map,i,j+1)){//右
return true;
}else if (getRoute(map,i+1,j)){//下
return true;
}else if (getRoute(map,i,j-1)){//左
return true;
}else {
//说明该路是死路,走不通过
map[i][j] = 3;
return false;
}
}else {
//如果map[i][j] 不是0,而是1,2,3
return false;
}
}
}
}
二 冒泡排序
1 生活中的需求:排序
2 解决方案:冒泡排序
(1)思想
水中气泡
(2)流原
从前往后依次比较相邻元素值,把最小 或 最大的值浮出水面:
- 轮数 = 元素个数 -1 》for1
- 第轮比较次数 = 元素个数 - 轮数 》 for2

(3)java代码实现
package com.bjpowernode.rabbitmq.config;
import java.util.Arrays;
public class Maopao {
public static void main(String[] args) {
int[] arr = {4,5,6,3,2,1};
int len = arr.length;
int temp;
for(int i=0;i<len-1;i++){// 比较轮数 = 元素个数 - 1
for(int j=0;j<len-i-1;j++){// 每轮比较次数 = 元素个数 - 轮数
if(arr[j]>arr[j+1]){
temp = arr[j];
arr[j] = arr[j+1];
arr[j+1] = temp;
}
}
}
System.out.println(Arrays.toString(arr));
}
}
本文探讨了递归算法在文件查找、数学问题(如斐波那契数列和迷宫求解)中的应用,并介绍了冒泡排序的原理和实例。通过这两个常见算法,展示了编程中的递归思想和解决实际问题的方法。
333

被折叠的 条评论
为什么被折叠?



