神经网络
- 神经元模型
- BP算法
神经元模型
神经网络中最基本的单元是神经元模型(neuron)。常见的神经元模型为: M-P模型
其基本结构如下图所示:
神经元模型最理想的激活函数也是阶跃函数,即将神经元输入值与阈值的差值映射为输出值1或0,若差值大于零输出1,对应兴奋;若差值小于零则输出0,对应抑制。但阶跃函数不连续,不光滑,故在M-P神经元模型中,也采用Sigmoid函数来近似。
将神经元以一定的层次结构连接起来,就形成了神经网络,若下图所示:

我们可以用图比较形象的表示出神经网络的基本结构,但是核心的问题是我们如何用数学来抽象表示,以完成对该问题的建模,优化。
若神经网络的结构如下图所示:

因为每一个节点都是一个神经元。有 Y=a*(W*X+b) a 是激活函数。w是权值,b是偏移量。 对于a4有如下:

y1 有如下如下表达式:

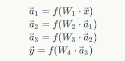
我们分层次表示该网络,并且采用向量的形式,则如下面的网络:

可表示为:

我们用数学的方式表示了该网络。核心的问题是,我们如何进行训练,训练过程中出现误差,我们又该怎么去优化。
BP 算法
假设,我们网络的激活函数为sigmoid ,则基于sigmoid 的网络的结构如下图所示:

网络训练的过程简单描述是,我们给定网络的输入x 数据项,和label 数据y,核心是我们如何找到最优的权重w 。
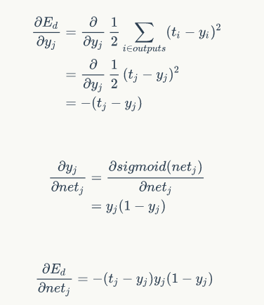
我们的代价函数为:

权重向量w 的迭代过程为:

观察上图,我们发现权重wji仅能通过影响节点j的输入值影响网络的其它部分(前面只能影响后面),设netj是节点j的加权输入,即

某个神经元的输出:

输出层权值训练:


则:

有:

则输出层的方程为:

隐含层权值训练:


结论:

输出层:
隐含层:
参考网址:
【1】:https://blog.youkuaiyun.com/chenfenggang/article/details/77542962
本文深入探讨神经网络的基础,包括神经元模型、M-P模型、Sigmoid函数的应用,以及神经网络的层次结构。详细解析BP算法的工作原理,包括网络训练、误差反向传播、权重更新等关键步骤。
13万+

被折叠的 条评论
为什么被折叠?



