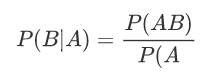
条件概率
•设A,B为任意两个事件,若P(A)>0,我们称在已知事件A发生的条件下,事件B发生的概率为条件概率,记为P(B|A),并定义

乘法公式
•如果P(A)>0,则P(AB)=P(A)P(B|A)
•如果P(A1…An-1)>0,则P(A1…An)= P(A1) P(A2|A1) P(A3|A1A2)…P(An|A1…An-1)
全概率公式

•P(Ai)>0,则对任一事件B,有

•全概率公式是用于计算某个“结果” B发生的可能性大小。如果一个结果B的发生总是与某些前提条件Ai 相联系,那么在计算P(B)时,我们就要用Ai 对B作分解,应用全概率公式计算P(B),我们常称这种方法为全集分解法。
根据小偷们的资料,计算村子今晚失窃概率的问题:P(Ai)表示小偷 i 作案的概率,P(B|Ai)表示小偷i 作案成功的概率,那么P(B)就是村子失窃的概率
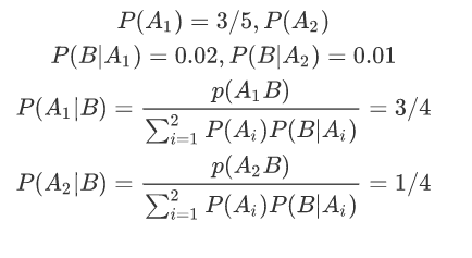
贝叶斯公式(又称逆概公式)

P(Ai)>0,则对任一事件B,只要P(B)>0,有

•如果在B发生的条件下探求导致这一结果的各种“原因” Aj 发生的可能性大小P(Aj |B),则要应用贝叶斯公式
若村子今晚失窃,计算哪个小偷嫌疑最大的问题(嫌疑最大就是后验概率最大)
假设小偷1和小偷2在某村庄的作案数量比为3:2,前者偷窃成功的概率为0.02,后者为0.01,现村庄失窃,求这次失窃是小偷1作案的概率。
【分析】A1={小偷1作案},A2={小偷2作案},B={村庄失窃}

总结:
先验概率P(A):在不考虑任何情况下,A事件发生的概率条件概率P(B|A):A事件发生的情况下,B事件发生的概率后验概率P(A|B):在B事件发生之后,对A事件发生的概率的重新评估全概率:如果A和A'构成样本空间的一个划分,那么事件B的概率为:A和A'的概率分别乘以B对这两个事件的概率之和。
朴素贝叶斯的直观理解
案例:
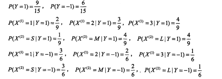
有一个训练集包含100个人,其中有60个非洲人(黑卷47,黑直1,黄卷11,黄直1),有40个亚洲人(黑卷1,黄卷4,黄直*35),请训练朴素贝叶斯模型。
肤色x1={黑,黄}, 发型x2={卷,直}; 地区label={亚,非}
先计算先验概率:
亚洲人的比例m,非洲人的比例
模型构建:根据资料计算模型参数
亚洲人中肤色=黑的比例,亚洲人中肤色=黄的比例

非洲人中肤色=黑的比例,非洲人中肤色=黄的比例

亚洲人中发型=卷的比例,亚洲人中发型=直的比例

非洲人中发型=卷的比例,非洲人中发型=直的比例

假设新来了一个人【[黑,卷],地区=?】,请用朴素贝叶斯模型预测这个人的地区。Y表示地区,X表示特征向量,根据贝叶斯公式,并假设特征间独立的假设有:

和特征间独立的假设(朴素),得

根据计算结果,模型会将这个人的地区预测为非洲。
朴素:假设特征间是独立的(忽略肤色和发型的联系),从而变成了“低配版的贝叶斯模型”,称为“朴素贝叶斯”。
优点:是可以减少需要估计的参数的个数;缺点:会牺牲一定的分类准确率。
如果是贝叶斯模型的话,模型参数总数为:

是指数增长的,实际是不可行的;而朴素贝叶斯模型参数总数为:

通过朴素贝叶斯就可以避免线性增长。
训练:先根据数据集,计算标记(地区)的先验概率,再计算每一个特征(肤色和发型)的条件概率,这些概率值就是模型参数,因此朴素贝叶斯的训练成本很低。
预测:当一个【黑,卷】来报道时,假设特征间是独立的,朴素贝叶斯模型会预测他的老家是非洲的,原理就是
“非洲人的概率 非洲人里肤色为黑的比例 非洲人里发型为卷的比例 > 亚洲人的概率 亚洲人里肤色为黑的比例 亚洲人里发型为卷的比例”。
朴素贝叶斯模型会将实例预测为后验概率最大的类。
继续上文的引例,考虑一个这样的问题:
假设某人的地区完全依靠其肤色的就能确定,发型是一个对判断地区没有参考价值的特征,假设P(卷|非洲)=0, P(卷|亚洲)=0.001,当来了一个【黑,卷】人的时候,我们算出

然后被预测为亚洲人,傻了吧?
原因:出现某个模型参数为0时,0乘任何数都=0,直接影响到后验概率的计算结果。
解决这一问题的方法是使用平滑操作,改造先验概率公式:

改造每个特征的条件概率公式(这里只列举了2个):

在随机变量各个取值的频数上赋予一个正数,当λ=1时,称为拉普拉斯平滑


拉普拉斯平滑

17: 15+2 (拉普拉斯平滑)
10: 9+1 (拉普拉斯平滑)
代码实现
import pandas as pd def tokey(col_name,category,y): #定义写key的函数,比如产生 'X1=3|Y=1' return col_name+"="+str(category)+"|Y="+str(y) df = pd.read_csv("datas/bayes_lihang.txt") lam = 1 #平滑因子 P = {} #用于存储所有概率的字典 Y = df["Y"].value_counts().keys() #获取类别种类的list col_names = df.columns.tolist()[:-1] #获取特征列名 for y in Y: #遍历每个类别 df2 = df[df["Y"]==y] #获取每个类别下的DF p = (df2.shape[0]+lam)/(df.shape[0]+len(Y)*lam) #计算先验概率 P[y] = p #将先验概率加入P for col_name in col_names: #遍历每个特征 categorys = df2[col_name].value_counts().keys() #获取每个特征下特征值种类的list for category in categorys: #遍历每个特征值 p = (df2[df2[col_name]==category].shape[0]+lam)/(df2.shape[0]+len(categorys)*lam) #计算在某类别下,特征=某特征的条件概率 P[tokey(col_name,category,y)] = p #将条件概率加到P print(P) X = [2,"S"] #待测数据 res = [] #用于存储属于某一类别的后验概率 for y in Y: #遍历类别 p = P[y] #获取先验概率 for i in range(len(X)): #遍历特征 p*=P[tokey(col_names[i],X[i],y)] #获取条件概率 print(p) res.append(p) #将后验概率加入res import numpy as np np.argmax(res) #返回最大的后验概率对应的类别
多项式朴素贝叶斯:
当特征是离散变量时,使用多项式模型
高斯朴素贝叶斯:
当特征是连续变量时,使用高斯模型
伯努利朴素贝叶斯:
伯努利模型和多项式模型是一致的,但要求特征是二值化的(1,0)
注意:当特征中既有连续变量又有离散变量时,一般将连续变量离散化后使用多项式模型
•在机器学习中,朴素贝叶斯分类器是一系列以假设特征之间强独立(朴素)下运用贝叶斯定理为基础的简单概率分类器。
•高度可扩展的,求解过程只需花费线性时间
•目前来说,朴素贝叶斯在文本分类(textclassification)的领域的应用多,无论是sklearn还是Spark Mllib中,都只定制化地实现了在文本分类领域的算法
本文介绍了条件概率、全概率公式及贝叶斯公式的概念,并通过具体案例讲解了如何利用朴素贝叶斯模型进行预测。同时,还讨论了模型训练、预测过程中可能遇到的问题及其解决方案。
1597

被折叠的 条评论
为什么被折叠?



