题目
给定一个链表的头节点 head ,返回链表开始入环的第一个节点。 如果链表无环,则返回 null。
如果链表中有某个节点,可以通过连续跟踪 next 指针再次到达,则链表中存在环。 为了表示给定链表中的环,评测系统内部使用整数 pos 来表示链表尾连接到链表中的位置(索引从 0 开始)。如果 pos 是 -1,则在该链表中没有环。注意:pos 不作为参数进行传递,仅仅是为了标识链表的实际情况。
不允许修改 链表。
示例 1:

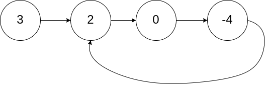
输入:head = [3,2,0,-4], pos = 1 输出:返回索引为 1 的链表节点 解释:链表中有一个环,其尾部连接到第二个节点。
示例 2:

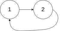
输入:head = [1,2], pos = 0 输出:返回索引为 0 的链表节点 解释:链表中有一个环,其尾部连接到第一个节点。
示例 3:

输入:head = [1], pos = -1 输出:返回 null 解释:链表中没有环。
提示:
- 链表中节点的数目范围在范围
[0, 104]内 -105 <= Node.val <= 105pos的值为-1或者链表中的一个有效索引
思路
快慢指针
1.快慢指针先判断是否有环
(1)slow、fast从头开始,slow一次走一步,fast一次走两步
(2)如果两个指针相遇,则意味着链表存在环
(3)如果fast走到链表末尾了,则意味着没有环
2.如果有环,快慢指针找环的起点
(1)让fast指向head链表头,一次走一步,slow从上一步的位置开始,一次一步
(2)slow和fast相遇的节点,就是环的起点
证明如下:
非环部分长度设为a,环长设为b,假设快慢指针相遇时,slow走了a + c,则fast走了2 *(a + c)
假设fast比slow多走了k圈,那么可以得到:2 * (a + c) = a + c + k * b,则a = k * b - c
所以当fast从head开始走,slow从相遇位置走,那么当fast走了a步(环的起点)时,slow走了k * b - c步,也回到了环的起点,两个指针再次相遇,返回此时的位置,即环的起点
代码
# Definition for singly-linked list.
# class ListNode:
# def __init__(self, x):
# self.val = x
# self.next = None
class Solution:
def detectCycle(self, head: Optional[ListNode]) -> Optional[ListNode]:
if not head or not head.next: # 如果链表为空 or 只有一个节点,必不存在环
return
slow , fast = head, head # 快慢指针判断是否有环
flag = False
while fast and fast.next:
slow = slow.next
fast = fast.next.next
if slow == fast:
flag = True
break
if not flag: # 如果没有环,直接返回null
return
fast = head # 快慢指针找环的起点
while fast != slow:
slow = slow.next
fast = fast.next
return fast
1398

被折叠的 条评论
为什么被折叠?



