读书笔记-opencv-投影变换
原理解析
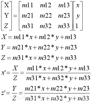
透视变换是将图片投影到一个新的视平面,也称作投影映射.它是二维(x,y)到三维(X,Y,Z),再到另一个二维(x′,y′)空间的映射.相对于仿射变换,它提供了更大的灵活性,将一个四边形区域映射到另一个四边形区域(不一定是平行四边形).它不止是线性变换.但也是通过矩阵乘法实现的,使用的是一个3x3的矩阵,矩阵的前两行与仿射矩阵相(m11,m12,m13,m21,m22,m23),也实现了线性变换和平移,第三行用于实现透视变换

在公式两边同时除以m33,得到一个有关8个未知数的方程组,只需要四个点就可以求出相关系数。
具体的推理过程,可以参见单应性变换,透视变换相关帖子。
代码示例
opencv提供相关的函数:
cv2.getPerspectiveTransform(src, dst)
其中src是变换前坐标,dst是变换后的坐标,返回33的矩阵src和dst是4 * 2的二维ndarry,数据必须为32位浮点型
python实例
src_points = np.array([[165., 270.], [835., 270.], [360., 125.], [615., 125.]], np.float32)
dst_points = np.array(

本文是关于opencv中投影变换的读书笔记,详细解析了透视变换的原理,包括其从二维到三维再投射到另一个二维空间的过程,并介绍了如何仅用四个点求解变换系数。还提供了Python代码示例,展示如何利用opencv库进行投影变换操作。
最低0.47元/天 解锁文章
3717





