2021-07-21 LeetCode每日一题
链接:https://leetcode-cn.com/problems/liang-ge-lian-biao-de-di-yi-ge-gong-gong-jie-dian-lcof/
标签:哈希表、链表、双指针
题目
输入两个链表,找出它们的第一个公共节点。
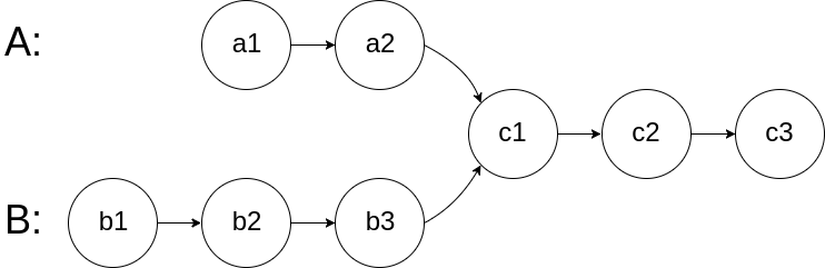
如下面的两个链表**:**

在节点 c1 开始相交。
示例 1:

输入:intersectVal = 8, listA = [4,1,8,4,5], listB = [5,0,1,8,4,5], skipA = 2, skipB = 3
输出:Reference of the node with value = 8
输入解释:相交节点的值为 8 (注意,如果两个列表相交则不能为 0)。从各自的表头开始算起,链表 A 为 [4,1,8,4,5],链表 B 为 [5,0,1,8,4,5]。在 A 中,相交节点前有 2 个节点;在 B 中,相交节点前有 3 个节点。
示例 2:

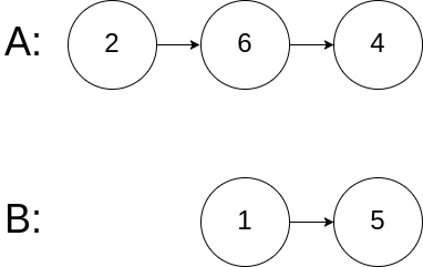
输入:intersectVal = 2, listA = [0,9,1,2,4], listB = [3,2,4], skipA = 3, skipB = 1
输出:Reference of the node with value = 2
输入解释:相交节点的值为 2 (注意,如果两个列表相交则不能为 0)。从各自的表头开始算起,链表 A 为 [0,9,1,2,4],链表 B 为 [3,2,4]。在 A 中,相交节点前有 3 个节点;在 B 中,相交节点前有 1 个节点。
示例 3:

输入:intersectVal = 0, listA = [2,6,4], listB = [1,5], skipA = 3, skipB = 2
输出:null
输入解释:从各自的表头开始算起,链表 A 为 [2,6,4],链表 B 为 [1,5]。由于这两个链表不相交,所以 intersectVal 必须为 0,而 skipA 和 skipB 可以是任意值。
解释:这两个链表不相交,因此返回 null。
注意:
- 如果两个链表没有交点,返回 null.
- 在返回结果后,两个链表仍须保持原有的结构。
- 可假定整个链表结构中没有循环。
- 程序尽量满足 O(n) 时间复杂度,且仅用 O(1) 内存。
分析
如果在纸上画一画,就能想到一种简单的方法(a + b = b + a)。没想到那就朴素一点,普通循环。
编码
好方法:
/**
* Definition for singly-linked list.
* public class ListNode {
* int val;
* ListNode next;
* ListNode(int x) {
* val = x;
* next = null;
* }
* }
*/
public class Solution {
public ListNode getIntersectionNode(ListNode headA, ListNode headB) {
ListNode A = headA, B = headB;
// 如果两个链表没有公共节点,那么最后都会等于null
while (A != B) {
// 最好的情况就是两个链表长度相等
// 两个链表长度不想等的时候,短的先走完,这时候让它从长链表的头节点开始走,等长的走完后
// 让长的从短链表的头结点开始,此时两个节点是距离公共节点是一样的
A = (A == null ? headB : A.next);
B = (B == null ? headA : B.next);
}
return A;
}
}

朴素法:
/**
* Definition for singly-linked list.
* public class ListNode {
* int val;
* ListNode next;
* ListNode(int x) {
* val = x;
* next = null;
* }
* }
*/
public class Solution {
public ListNode getIntersectionNode(ListNode headA, ListNode headB) {
ListNode A = headA;
while (A != null) {
ListNode B = headB;
while (B != null && B != A) {
B = B.next;
}
if (B != null) {
return B;
}
A = A.next;
}
return null;
}
}


本文解析LeetCode中的链表相交问题,通过哈希表和双指针技巧,演示如何在O(n)时间内找到两个链表的第一个公共节点。实例涵盖多种场景,包括链表长度不等和相交节点存在的情况。
162

被折叠的 条评论
为什么被折叠?



