2021-06-04 LeetCode每日一题
链接:https://leetcode-cn.com/problems/intersection-of-two-linked-lists/
标签:链表
题目
给你两个单链表的头节点 headA 和 headB ,请你找出并返回两个单链表相交的起始节点。如果两个链表没有交点,返回 null 。
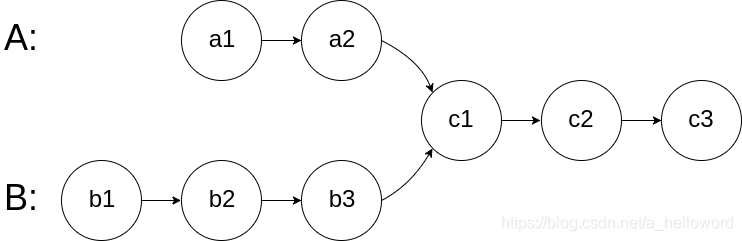
图示两个链表在节点 c1 开始相交:

题目数据 保证 整个链式结构中不存在环。
注意,函数返回结果后,链表必须 保持其原始结构 。

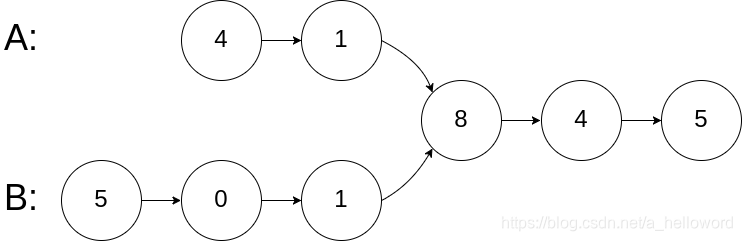
输入:intersectVal = 8, listA = [4,1,8,4,5], listB = [5,0,1,8,4,5], skipA = 2, skipB = 3
输出:Intersected at '8'
解释:相交节点的值为 8 (注意,如果两个链表相交则不能为 0)。
从各自的表头开始算起,链表 A 为 [4,1,8,4,5],链表 B 为 [5,0,1,8,4,5]。
在 A 中,相交节点前有 2 个节点;在 B 中,相交节点前有 3 个节点。

输入:intersectVal = 2, listA = [0,9,1,2,4], listB = [3,2,4], skipA = 3, skipB = 1
输出:Intersected at '2'
解释:相交节点的值为 2 (注意,如果两个链表相交则不能为 0)。
从各自的表头开始算起,链表 A 为 [0,9,1,2,4],链表 B 为 [3,2,4]。
在 A 中,相交节点前有 3 个节点;在 B 中,相交节点前有 1 个节点。

输入:intersectVal = 0, listA = [2,6,4], listB = [1,5], skipA = 3, skipB = 2
输出:null
解释:从各自的表头开始算起,链表 A 为 [2,6,4],链表 B 为 [1,5]。
由于这两个链表不相交,所以 intersectVal 必须为 0,而 skipA 和 skipB 可以是任意值。
这两个链表不相交,因此返回 null 。
listA 中节点数目为 m
listB 中节点数目为 n
0 <= m, n <= 3 * 104
1 <= Node.val <= 105
0 <= skipA <= m
0 <= skipB <= n
如果 listA 和 listB 没有交点,intersectVal 为 0
如果 listA 和 listB 有交点,intersectVal == listA[skipA + 1] == listB[skipB + 1]
进阶:你能否设计一个时间复杂度 O(n) 、仅用 O(1) 内存的解决方案?
解析
题目要求设计一个时间复杂度O(n),空间复杂度O(1)的答案。一般我们的思路都是需要两层循环,但仔细看看两个链表,发现其实有这么一个方法:两个链表A和B一起走,当链表A走到末尾的时候,让它重新指向链表B的头,然后A、B继续走,当B走到末尾的时候,让它重新指向A的头,这时候两个链表其实是距离链表尾是一样的距离。这时候只需要两个链表一起走,判断有没有相等的节点即可,有就返回,没有两个会同时走到末尾,指向null。
我能想到这个思路是因为之前我记得在哪看到过这个题目,脑子里还有一点印象,不然我感觉这个方法不太好想==。想出了这个方法用了10分钟,怎么把它写的优雅一点想了我20分钟。
编码
不优雅写法:用了一个count计数,防止没有交点的时候死循环
/**
* Definition for singly-linked list.
* public class ListNode {
* int val;
* ListNode next;
* ListNode(int x) {
* val = x;
* next = null;
* }
* }
*/
public class Solution {
public ListNode getIntersectionNode(ListNode headA, ListNode headB) {
ListNode root1 = headA, root2 = headB;
int count = 0;
while (root1 != null && root2 != null && root1 != root2) {
root1 = root1.next;
root2 = root2.next;
if (root1 == null && count < 2) {
root1 = headB;
count++;
}
if (root2 == null && count < 2) {
root2 = headA;
count++;
}
}
return root1;
}
}

优雅写法:
/**
* Definition for singly-linked list.
* public class ListNode {
* int val;
* ListNode next;
* ListNode(int x) {
* val = x;
* next = null;
* }
* }
*/
public class Solution {
public ListNode getIntersectionNode(ListNode headA, ListNode headB) {
ListNode root1 = headA, root2 = headB;
while (root1 != root2) {
if (root1 == null) {
root1 = headB;
} else {
root1 = root1.next;
}
if (root2 == null) {
root2 = headA;
} else {
root2 = root2.next;
}
}
return root1;
}
}

还可以更优雅一点:
/**
* Definition for singly-linked list.
* public class ListNode {
* int val;
* ListNode next;
* ListNode(int x) {
* val = x;
* next = null;
* }
* }
*/
public class Solution {
public ListNode getIntersectionNode(ListNode headA, ListNode headB) {
ListNode root1 = headA, root2 = headB;
while (root1 != root2) {
root1 = root1 == null ? headB : root1.next;
root2 = root2 == null ? headA : root2.next;
}
return root1;
}
}

不同写法,时间相差也很大,所以要知道怎么写,也要学会怎么写更优雅,看起来也更舒服。

本文探讨了如何使用O(1)额外空间,通过双指针技巧在LeetCode的链表相交问题中实现时间复杂度为O(n)的优雅解决方案。讲解了多种链表遍历方法,以及如何利用链表的特性避免冗余循环。
1631

被折叠的 条评论
为什么被折叠?



