2019年1月20日20:44:08
我在给威佐夫博弈打表的时候,无意中发现了一个数列。
它的前$100$位是:$$1212212122122121221212212212122122121221212212212122121221221212212212122121221221212212212122121221$$
有几个性质:
1.所有的$1$不相邻;
2.将所有$1$间的$2$统计一下,发现是:$$12122121221221212212122122121221221212$$
正好是它的前$38$项。
3.反证了一下,发现没有循环节。(有可能反证会出锅,但是前几项看起来确实没有)
4.由性质$2$可以反推,由一个${1}$可以推至无穷项。
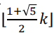
5.我的打表方式是用原数列的后一项-前一项,但是原数列的通项是
,所以这个数列存在通项公式,而且计算复杂度是$O(1)$的。
2056

被折叠的 条评论
为什么被折叠?



