1、Collaborative Filtering and Deep Learning Based Recommendation System For Cold Start Items
将冷启动问题CS,根据稀疏程度进一步划分CCS(稀疏性为100%)和ICS(稀疏性达到85%)

(1)利用SDAE降噪自编码器训练评分矩阵,获取每个物品的特征
(2)将获得物品特征融合到timeSVD++
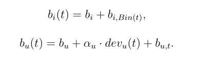
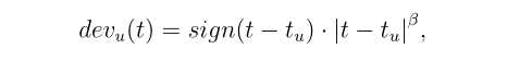
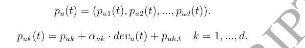
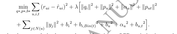
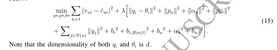
B、TimeSVD++


修改timeSVD++公式为




对CCS物品的评分预测模型
(1)利用相似度将CCS物品与non-CCS物品相关联。
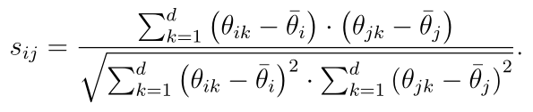
基于SDAE获得物品的特征,利用Pearson相关系数计算在CCS物品和non-CCS物品之间的相似性
其中为物品i和物品j特征向量。 

并考虑两种方法进行预测对CCS物品评分
A、从non-CS物品集中抽取最相似的M个non-CS物品,将non-CS物品中缺失评分项被预测后,对CCS物品进行预测。该方法称为(TOA)

B、用户u评价过的non-CS物品,找最相似的non-CS物品

根据实验发现:

最终对CCS物品评分

误差

对ICS物品的评分预测模型

2、Merging user and item based collaborative filtering to alleviate data sparsity

5092

被折叠的 条评论
为什么被折叠?



