83. 删除排序链表中的重复元素
给定一个已排序的链表的头 head , 删除所有重复的元素,使每个元素只出现一次 。返回 已排序的链表 。
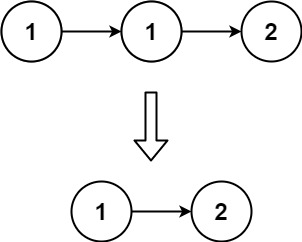
示例 1:

输入:head = [1,1,2]
输出:[1,2]
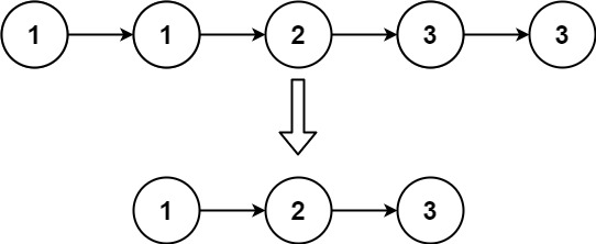
示例 2:

输入:head = [1,1,2,3,3]
输出:[1,2,3]
提示:
- 链表中节点数目在范围 [0, 300] 内
- -100 <= Node.val <= 100
- 题目数据保证链表已经按升序 排列
解题思路
Go代码
/**
* Definition for singly-linked list.
* type ListNode struct {
* Val int
* Next *ListNode
* }
*/
func deleteDuplicates(head *ListNode) *ListNode {
// 和数组删除重复元素思路一样,因为已经排序过了,所以当前节点和前一节点相等则可删除
if head == nil {
return nil
}
cur := head
for cur != nil {
if cur.Next != nil && cur.Val == cur.Next.Val {
cur.Next = cur.Next.Next
} else {
cur = cur.Next //后一个结点的值与前一结点的值不相等,更新cur,即cur后移
}
}
return head
}


被折叠的 条评论
为什么被折叠?



