目录
1. 神经网络起源:线性回归
线性回归:线性关系来描述输入到输出的映射关系
应用场景

一个线性回归问题
目标方程:y=ax1+bx2+cx3+d 参数:m=[a,b,c,d],
数据:[(x1,1,x2,1,x3,1), (x1,2,x2,2,x3,2), …(x1,n,x2,n,x3,n)]
[y1,y2…..yn]
预测:ŷt=ax1,t+bx2,t+cx3,t+d
目标: minimize (ŷt -yt),使得预测的y值和真实y值越小越好。
优化方法(优化目标)
模型参数:当前m0 =[a0,b0,c0,d0],每一步Δm? 参数:m=[a,b,c,d]

山坡高度:Loss ,将预测值和真实值之间的差距理解为山坡高度。地面位置:参数(abcd参数值)。
山坡最低点:Loss minimal
最低点位置:目标参数
怎么到达最低点:下坡方向,梯度下降 怎么找方向:高度对地面关系导数
梯度下降:梯度计算
Loss=ax1,t+bx2,t+cx3,t+d-y

梯度下降:参数更新 m:=m-ηΔm
梯度下降法总结
随机初始化参数。开启循环:t=0,1,2。带入数据求出结果ŷt,与真值比较得到loss=y-ŷt,对各个变量求导得到Δm 更新变量m如果loss足够小或t循环结束,停止。
线性回归
输出+
多目标学习,通过合并多个任务loss,一般能够产生比单个模型更好的效果。

线性回归局限

从图上可以看出线性回归能够清楚的描述分割线性分布的数据,对非线性分布的数据描述较弱。
非线性激励

考量标准:1.正向对输入的调整2.反向梯度损失。
常用的非线性激励函数


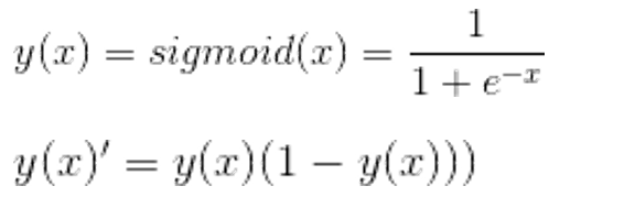
将输入数据映射到[0,1],梯度下降非常明显,至少减少75%。
常用的非线性激励函数
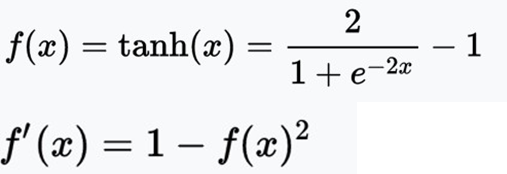
tahn


将输入数据映射到[-1,1],梯度损失明显。
ReLU
函数效果,导数,优点,缺点。


神经元-神经网络

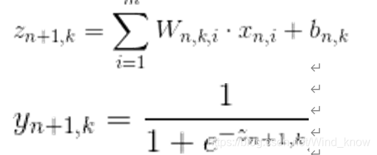
神经网络构建
神经元的“并联”和“串联”,从第一层神经网络到最终输出,每一个神经元的数值由前一层神经元数值,神经元并联:宽度
神经网络求导-TensorFlow实现
data = tf.placeholder(tf.float32) var = tf.Variable(...)
loss = some_function_of(var, data)
var_grad = tf.gradients(loss, [var])
sess = tf.Session()
var_grad_val = sess.run(var_grad, feed_dict={data: ...})
神经网络的“配件”
1.损失函数-Loss
2.影响深度学习性能最重要因素之一。是外部世界对神经网络模型训练的直接指导。
3.合适的损失函数能够确保深度学习模型收敛。
4.设计合适的损失函数是研究工作的主要内容之一。
损失函数

学习率 Learning rate


过拟合---应对


Pooling的本质是降维,Droupout的本质是Regularization。

3287

被折叠的 条评论
为什么被折叠?



