引言
在数据科学和机器学习领域,隐马尔可夫模型(Hidden Markov Model,HMM)是一种统计模型,它能够描述具有隐含未知参数的马尔可夫过程。HMM广泛应用于语音识别、自然语言处理、生物信息学等多个领域。本文旨在深入解析HMM的原理和核心概念,并通过数学公式和代码示例辅助理解,以期为读者提供一个清晰的学习路径。
一、隐马尔可夫模型的基本原理
1.1 核心概念解析
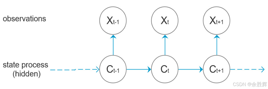
隐马尔可夫模型由以下几个核心要素构成:

- 隐藏状态集合(S):系统中无法直接观测到的潜在状态集合,记为 ( S = { s 1 , s 2 , . . . , s N } ) ( S = \{s_1, s_2, ..., s_N\}) (S={s1,s2,...,sN})。
- 观测集合(O):系统在不同隐藏状态下可观测到的结果集合,记为 ( O = { o 1 , o 2 , . . . , o M } ) ( O = \{o_1, o_2, ..., o_M\} ) (O={o1,o2,...,oM})。
- 状态转移概率矩阵(A):描述状态之间转移概率的矩阵,其中 ( a i j ) ( a_{ij} ) (aij) 表示从状态 ( s i ) ( s_i ) (si) 转移到状态 ( s j ) ( s_j ) (sj) 的概率。
- 观测概率矩阵(B):描述在特定状态 ( s j ) ( s_j ) (sj) 下观测到 ( o k ) ( o_k ) (ok) 的概率,记为 ( b j ( k ) ) ( b_j(k) ) (bj(k))。
- 初始状态概率向量(π):系统初始时刻处于各个隐藏状态的概率分布,记为
(
π
=
(
π
1
,
π
2
,
.
.
.
,
π
N
)
)
( \pi = (\pi_1, \pi_2, ..., \pi_N) )
(π=(π1,π2,...,πN))。

1.2 数学公式表示
状态转移概率可以用以下矩阵表示:
A = [ a 11 a 12 ⋯ a 1 N a 21 a 22 ⋯ a 2 N ⋮ ⋮ ⋱ ⋮ a N 1 a N 2 ⋯ a N N ] A = \begin{bmatrix} a_{11} & a_{12} & \cdots & a_{1N} \\ a_{21} & a_{22} & \cdots & a_{2N} \\ \vdots & \vdots & \ddots & \vdots \\ a_{N1} & a_{N2} & \cdots & a_{NN} \end{bmatrix} A= a11a21⋮aN1a12a22⋮aN2⋯⋯⋱⋯a1Na2N⋮aNN
观测概率可以用以下矩阵表示:
B = [ b 1 ( 1 ) b 1 ( 2 ) ⋯ b 1 ( M ) b 2 ( 1 ) b 2 ( 2 ) ⋯ b 2 ( M ) ⋮ ⋮ ⋱ ⋮ b N ( 1 ) b N ( 2 ) ⋯ b N ( M ) ] B = \begin{bmatrix} b_1(1) & b_1(2) & \cdots & b_1(M) \\ b_2(1) & b_2(2) & \cdots & b_2(M) \\ \vdots & \vdots & \ddots & \vdots \\ b_N(1) & b_N(2) & \cdots & b_N(M) \end{bmatrix} B= b1(1)b2(1)⋮bN(1)b1(2)b2(2)⋮bN(2)⋯⋯⋱⋯b1(M)b2(M)⋮bN(M)
初始状态概率向量可以表示为:
π = [ π 1 π 2 ⋮ π N ] \pi = \begin{bmatrix} \pi_1 \\ \pi_2 \\ \vdots \\ \pi_N \end{bmatrix} π= π1π2⋮πN
二、隐马尔可夫模型的关键算法
2.1 前向-后向算法(Forward-Backward Algorithm)
前向-后向算法用于计算给定模型参数和观测序列的概率。前向概率 ( α t ( i ) ) ( \alpha_t(i) ) (αt(i)) 表示在时刻 ( t ) ( t ) (t) 处于状态 ( s i ) ( s_i ) (si) 且观测到 ( O 1 , O 2 , . . . , O t ) ( O_1, O_2, ..., O_t ) (O1,O2,...,Ot) 的概率。后向概率 ( β t ( i ) ) ( \beta_t(i) ) (βt(i)) 表示在时刻 ( t ) ( t ) (t) 处于状态 ( s i ) ( s_i ) (si) 且观测到 ( O t + 1 , O t + 2 , . . . , O T ) ( O_{t+1}, O_{t+2}, ..., O_T ) (Ot+1,Ot+2,...,OT) 的概率。
前向概率的递推公式为:
α t + 1 ( j ) = ( ∑ i = 1 N a i j b j ( O t + 1 ) ) α t ( i ) \alpha_{t+1}(j) = \left( \sum_{i=1}^{N} a_{ij} b_j(O_{t+1}) \right) \alpha_t(i) αt+1(j)=(i=1∑Naijbj(Ot+1))αt(i)
后向概率的递推公式为:
β t ( i ) = ∑ j = 1 N a i j b j ( O t + 1 ) β t + 1 ( j ) \beta_t(i) = \sum_{j=1}^{N} a_{ij} b_j(O_{t+1}) \beta_{t+1}(j) βt(i)=j=1∑Naijbj(Ot+1)βt+1(j)
2.2 维特比算法(Viterbi Algorithm)
维特比算法用于寻找最可能的隐藏状态序列。该算法维护一个路径概率矩阵 ( ψ t ( i ) ) ( \psi_t(i) ) (ψt(i)) 和路径指针矩阵,用于记录最大概率路径。
维特比算法的核心递推公式为:
ψ t ( i ) = max 1 ≤ j ≤ N [ ψ t − 1 ( j ) a j i ] b i ( O t ) \psi_t(i) = \max_{1 \leq j \leq N} \left[ \psi_{t-1}(j) a_{ji} \right] b_i(O_t) ψt(i)=1≤j≤Nmax[ψt−1(j)aji]bi(Ot)
2.3 Baum-Welch 算法
Baum-Welch 算法是一种 EM 算法,用于估计给定观测序列的模型参数。该算法通过迭代的方式不断更新模型参数,直到收敛。
三、代码示例
以下是使用 Python 实现 HMM 的简单示例:
import numpy as np
# 定义转移概率矩阵
A = np.array([[0.7, 0.3], [0.4, 0.6]])
# 定义观测概率矩阵
B = np.array([[0.5, 0.5], [0.1, 0.9]])
# 定义初始状态概率向量
pi = np.array([0.6, 0.4])
# 前向算法
def forward_algorithm(O, A, B, pi):
N = len(A) # 状态数量
T = len(O) # 观测序列长度
# 初始化前向概率矩阵 alpha
alpha = np.zeros((N, T))
# 初始时刻的前向概率
alpha[:, 0] = pi * B[:, O[0]]
# 迭代计算每个时刻的前向概率
for t in range(1, T):
for j in range(N):
alpha[j, t] = B[j, O[t]] * np.sum(alpha[:, t-1] * A[:, j])
return alpha
# 维特比算法
def viterbi_algorithm(O, A, B, pi):
N = len(A) # 状态数量
T = len(O) # 观测序列长度
# 初始化概率矩阵 delta 和路径矩阵 psi
delta = np.zeros((N, T))
psi = np.zeros((N, T), dtype=int)
# 初始时刻的概率
delta[:, 0] = pi * B[:, O[0]]
# 迭代计算每个时刻的最大概率及其对应的路径
for t in range(1, T):
for j in range(N):
probabilities = delta[:, t-1] * A[:, j] * B[j, O[t]]
delta[j, t] = np.max(probabilities)
psi[j, t] = np.argmax(probabilities)
# 回溯找到最可能的状态路径
most_probable_path = np.zeros(T, dtype=int)
most_probable_path[T-1] = np.argmax(delta[:, T-1])
for t in reversed(range(1, T)):
most_probable_path[t-1] = psi[most_probable_path[t], t]
return most_probable_path
# 示例观测序列
O = [0, 1, 0, 1, 0]
# 调用函数
alpha = forward_algorithm(O, A, B, pi)
most_probable_path = viterbi_algorithm(O, A, B, pi)
print("Forward Probabilities:")
print(alpha)
print("\nMost Probable Path:", most_probable_path)
四、核心概念的深入解析

4.1 隐藏状态和观测值
隐藏状态是指不能直接观测到的系统状态,它们是模型中的核心组成部分。观测值是可以直接观测到的数据,它们提供了关于隐藏状态的信息。在HMM中,观测值和隐藏状态之间的关系是通过概率分布来描述的。
4.2 状态转移概率
状态转移概率描述了从一个隐藏状态转移到另一个隐藏状态的概率。这个概率是HMM的核心参数之一,它决定了模型的动态特性。状态转移概率矩阵 ( A ) ( A ) (A) 中的每个元素 ( a i j ) ( a_{ij} ) (aij) 表示从状态 ( s i ) ( s_i ) (si) 转移到状态 ( s j ) ( s_j ) (sj) 的概率。
4.3 观测概率
观测概率描述了在给定隐藏状态下观测到特定观测值的概率。这个概率也是HMM的核心参数之一,它决定了模型的输出特性。观测概率矩阵 ( B ) ( B ) (B) 中的每个元素 ( b j ( k ) ) ( b_j(k) ) (bj(k)) 表示在状态 ( s j ) ( s_j ) (sj) 下观测到 ( o k ) ( o_k ) (ok) 的概率。
4.4 初始状态概率
初始状态概率描述了系统在初始时刻处于各个隐藏状态的概率分布。这个概率同样是HMM的核心参数之一,它决定了模型的初始状态分布。初始状态概率向量 ( π ) ( \pi ) (π) 中的每个元素 ( π i ) ( \pi_i ) (πi) 表示初始状态为 ( s i ) ( s_i ) (si) 的概率。
4.5 Markov性质
HMM的一个重要特性是Markov性质,即无记忆性。这意味着系统的下一个状态只依赖于当前状态,而与之前的所有状态无关。这个性质大大简化了模型的计算复杂度,使其在实际应用中更加高效。
4.6 观测值的独立性
HMM的另一个重要假设是观测值的独立性,即观测值只依赖于当前的隐藏状态,而与其他时刻的隐藏状态和观测值无关。这个假设同样简化了模型的计算,但也限制了模型对某些类型数据的适用性。
结语
通过对隐马尔可夫模型的核心概念进行深入解析,我们可以看到HMM是如何通过隐藏状态和观测值来描述系统的动态特性和输出特性的。HMM的Markov性质和观测值的独立性假设使其在处理序列数据时具有独特的优势。希望本文能够帮助读者更好地理解HMM的原理和核心概念,并在实际应用中发挥作用。
参考文献
未觉池塘春草梦,阶前梧叶已秋声。
![]()
学习是通往智慧高峰的阶梯,努力是成功的基石。
我在求知路上不懈探索,将点滴感悟与收获都记在博客里。
要是我的博客能触动您,盼您 点个赞、留个言,再关注一下。
您的支持是我前进的动力,愿您的点赞为您带来好运,愿您生活常暖、快乐常伴!
希望您常来看看,我是 秋声,与您一同成长。
秋声敬上,期待再会!
1428

被折叠的 条评论
为什么被折叠?



