下面是我最近学习卡特兰数的资料现在分享给大家
里面包含一个比较长的视频,我给大家做了视频的相关时间戳一键跳转
http://lanqi.org/interests/10939/
卡特兰数问题-LeetCode 96(卡特兰数,BST的构成,圆内连弦) - 云+社区 - 腾讯云 (tencent.com)
「算法入门笔记」卡特兰数 - 力扣(LeetCode) (leetcode-cn.com)
卡特兰数
由树引入
基本概念
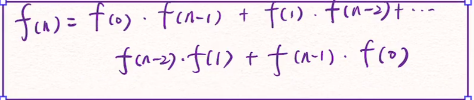
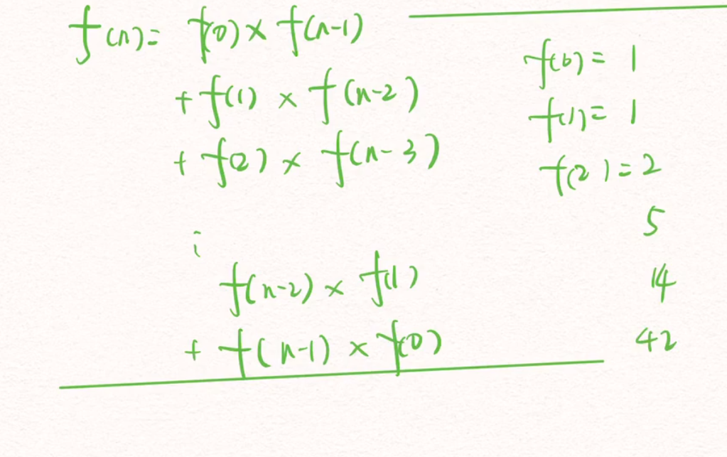
节点构成的树的个数
递归,要使用前面的计算




公式


左右括号匹配
左右括号成对看
第一个括号内部的括号数 和第一个括号外部的括号数


二叉树和括号匹配如此相似
第一左括号是根,包含的内容和不包含的内容是左右两颗子树
这种问题只拆分一层,比如左子树,只看当前节点的左,而不看左子树下面的其他的
买票
前提是成对出现
也看作一对

分割三角形
从边出发,某个边一定是三角形的一部分

除了这条边以外的节点
48:00
在已经划分好的接着划分,并且依赖前面的划分方法
多边形中,除了一条边之外,还有几个节点
栈

这篇博客深入探讨了卡特兰数在括号匹配和二叉树构造中的应用。通过视频教程和时间戳导航,讲解了如何用递归方法计算节点构成的树的数量,并介绍了卡特兰数的公式。同时,将括号匹配与二叉树的关系清晰呈现,阐述了如何利用卡特兰数解决圆内连弦问题和分割三角形。此外,还涉及到了栈在解决问题中的作用。


6825

被折叠的 条评论
为什么被折叠?



