【原创】关于23−23−⋯23−x\frac{2}{3-\frac{2}{3-\cdots\frac{2}{3-x}}}3−3−⋯3−x222的收敛性以及2=1的问题
问题背景
最近在网上看到了一个证明2=1的文章,它是这样证明的:
2=23−2=23−23−2=23−23−23−2=23−23−23−⋱2=\frac{2}{3-2}=\frac{2}{3-\frac{2}{3-2}}=\frac{2}{3-\frac{2}{3-\frac{2}{3-2}}}=\frac{2}{3-\frac{2}{3-\frac{2}{3-\ddots}}}2=3−22=3−3−222=3−3−3−2222=3−3−3−⋱222
1=23−1=23−23−1=23−23−23−1=23−23−23−⋱1=\frac{2}{3-1}=\frac{2}{3-\frac{2}{3-1}}=\frac{2}{3-\frac{2}{3-\frac{2}{3-1}}}=\frac{2}{3-\frac{2}{3-\frac{2}{3-\ddots}}}1=3−12=3−3−122=3−3−3−1222=3−3−3−⋱222
所以2=1
问题提出
这个结果显然让人比较困惑,因为我们好像很难否认这个过程是错的。
要求出那个极限是多少,方法应该很简单,设它是xxx:
x=23−x⇒x=1, 2x=\frac{2}{3-x}\Rightarrow x=1,\, 2x=3−x2⇒x=1,2
我们果然解出了两个根1和2,这是否意味着这个极限不是一个定值呢?
我不禁想起这么一个问题:2+2+⋯\sqrt{2+\sqrt{2+\cdots}}2+2+⋯,同样我们会解出两个根2和-1,但是-1因为它显然大于零而被判定是增根舍掉了,而对于本话题,1和2我们没有理由舍掉任何一个。
关于这种分数,如果把分子都化成1,而不是2,就有一个定理,这个定理是说,任何一个有理数都能被化成一个有限的这样的分数,而无理数都能被化成无限个这样嵌套的分数。可是这个分子是2,这个定理似乎无法给我们启示。
那么我们就来考虑函数列极限吧!我们考虑这样的函数列:
{fn=23−23−⋯23−x}(嵌套n次)\left\{f_n=\frac{2}{3-\frac{2}{3-\cdots\frac{2}{3-x}}}\right\}(嵌套n次)⎩⎨⎧fn=3−3−⋯3−x222⎭⎬⎫(嵌套n次)
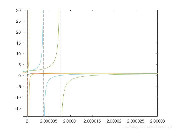
当x取不同值的时候它的收敛性。博主利用了MATLAB做出图像后发现了惊人的事情:只有当x=2x=2x=2时,这个函数的值才等于222,此外若n≠∞n\neq\inftyn=∞时,总会有一个点n0n_0n0,使得fn=∞f_n=\inftyfn=∞,而且nnn越大,这个n0n_0n0就越接近2:

不仅如此,当xxx取任何非2的值的时候,limn→∞fn(x)=1\lim\limits_{n\to\infty}f_n(x)=1n→∞limfn(x)=1,也就是它总是收敛于1的,2是一个不稳定的收敛点:
limn→∞fn(x)={1x≠22x=2\lim\limits_{n\to\infty}f_n(x)=\begin{cases}1&x\neq2\\2&x=2\end{cases}n→∞limfn(x)={12x=2x=2
问题分析
对这种现象,我想到了一个方法去解释:
我们计算fn(x)f_n(x)fn(x)的时候,相当于对f(x)=23−xf(x)=\frac{2}{3-x}f(x)=3−x2进行了nnn次迭代,自变量x=x0x=x_0x=x0就是给予了一个初值x0x_0x0。 当x0=1x_0=1x0=1或x0=2x_0=2x0=2时,每一次迭代的结果都是精确的1和2,当x0x_0x0是其它值的时候(函数的自变量取非1和2的任意值,x0=3x_0=3x0=3看作是取x→3x\to3x→3的极限),我们进行下面两种分析:
1. 当x围绕2
我们记x0=2+Δxx_0=2+\Delta xx0=2+Δx,那么迭代后的x1=21−Δxx_1=\frac{2}{1-\Delta x}x1=1−Δx2,它距离2的距离是Δx1=x1−2=21−ΔxΔx\Delta x_1=x_1-2=\frac{2}{1-\Delta x}\Delta xΔx1=x1−2=1−Δx2Δx:
- 如果Δx\Delta xΔx比较小(接近0)的话,那么x1x1x1的误差Δx1\Delta x_1Δx1会被放大为Δx\Delta xΔx的二倍,那么用x1x_1x1进行下一次迭代的时候会产生更大的误差。由于我们假设了Δx\Delta xΔx接近0,那么它的二倍不会超过1,经过几次迭代放大,迟早有一次它会达到1或-1附近(如果实际计算,只要误差40%左右就可以了),也就是说Δxk≈1\Delta x_k\approx1Δxk≈1或−1-1−1,就会进入到情形2、4
- 如果Δx\Delta xΔx在1附近,可以看到迭代之后Δx1→∞\Delta x_1\to\inftyΔx1→∞,进入到情形3
- 如果Δx\Delta xΔx很大(Δx→∞\Delta x\to\inftyΔx→∞),Δx1≈−2\Delta x_1\approx-2Δx1≈−2,再次迭代得到Δx2≈−1.33\Delta x_2\approx-1.33Δx2≈−1.33,这时候我们就可以认为它接近于-1了(虽然0.330.330.33的误差看似很大,但这不影响我们的分析——只要误差小于1就可以,这在之后我们将会看到),转到情形4
- 如果Δx≈−1\Delta x\approx-1Δx≈−1,这就清晰明了了:因为我们看到2+Δx2+\Delta x2+Δx就会到达1附近
- 对于其它的情形,也
- 所以,若输入的x0x_0x0与2稍有偏差,经过若干次迭代之后,xxx的值迟早会到达1附近
2. 当x围绕1
这时,我们设x0=1+Δxx_0=1+\Delta xx0=1+Δx,得到x1=22−Δxx_1=\frac{2}{2-\Delta x}x1=2−Δx2,因此x1x_1x1与1的距离Δx1=x1−1=12−ΔxΔx\Delta x_1=x_1-1=\frac{1}{2-\Delta x}\Delta xΔx1=x1−1=2−Δx1Δx。由于之前的分析,当x≠2x\neq2x=2时,xxx迟早会到达1附近,我们这次就只需要考虑Δx\Delta xΔx比较小的情形就可以了,我们可以很合理地假设∣Δx∣<1\lvert\Delta x\rvert<1∣Δx∣<1,而此时,2−Δx>12-\Delta x>12−Δx>1,因此∣Δx1∣<∣Δx∣\lvert\Delta x_1\rvert<\lvert\Delta x\rvert∣Δx1∣<∣Δx∣——误差减小了。经过若干次迭代,很明显limk→∞∣Δxk∣=0\lim\limits_{k\to\infty}\lvert\Delta x_k\rvert=0k→∞lim∣Δxk∣=0,也就是说,它收敛到了1
结论
经过上面的定性分析,可以比较明显地看到该函数列几乎总是收敛于1的原因,除非x=2x=2x=2。虽然这个极限是不存在的(极限存在应当是任何的极限方式都收敛于同一个值),但是我们可以认为它几乎收敛于1,2只是一个特殊情况的收敛值。不过这可以说明2=1的证明是错误的。
后记
我写这篇文章也是心血来潮,突然有了一些想法,就写了这篇文章,可以说写的比较匆忙,并且没有查阅太多的资料。而且,这篇文章只是写了我的一个思路,没有过于深入的探究;我也受到自身数学功底的限制,没有严谨的数学证明。希望有兴趣的读者可以尝试给出严格的证明,也希望读者给出更多的新思路。本文的不足之处还请指正与海涵。
本文探讨了一个网上流传的2=1证明谬误,通过分析嵌套分数的极限性质,揭示了其背后的数学原理。指出在特定条件下,序列几乎总是收敛于1,而2则是一个特殊点。
5055

被折叠的 条评论
为什么被折叠?



