第一节

题目

A

C
第二节

题目

A

C

B

D

A 右侧原因型,在左侧是对策型。主要记得右侧是原因行就可以了。

C

B

D 字面意思。

ABCD

CD
第三节

题目

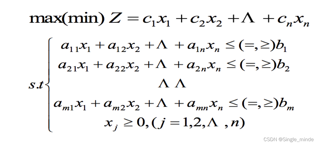
线性规划的标准型要求,右端常数非负,约束条件为等式,决策变量大于0 。 选C


A

D

B

D

D

D
博客包含多节题目练习,涉及不同选项及相关解释,如A右侧为原因型、左侧为对策型等。还提到线性规划标准型要求,即右端常数非负、约束条件为等式、决策变量大于0 。


A

C


A

C

B

D

A 右侧原因型,在左侧是对策型。主要记得右侧是原因行就可以了。

C

B

D 字面意思。

ABCD

CD


线性规划的标准型要求,右端常数非负,约束条件为等式,决策变量大于0 。 选C


A

D

B

D

D

D

被折叠的 条评论
为什么被折叠?