本次 DataWhale 第二十三期组队学习,其开源内容的链接为:https://github.com/datawhalechina/team-learning-data-mining/tree/master/EnsembleLearning
优化基础模型
-
(a)训练均方误差和测试均方误差
在我们训练模型的时候,如果一味地提高对训练数据的预测能力,往往会出现模型的复杂度高于真实模型的情况,且在未知数据上预测得很差的现象,即为过拟合。比如说,任意n个点可以使用 n-1 次曲线进行拟合,这时的模型预测能力并不是最好的。
以在回归中为例,在使用最常见的评价指标——均方误差进行评价时,在训练集上的误差叫做训练均方误差,在未知的样本集上的误差叫测试均方误差。下图展示了训练误差和测试误差与模型复杂度的关系:
![[外链图片转存失败,源站可能有防盗链机制,建议将图片保存下来直接上传(img-sIdePilf-1616430710073)(./T3-1.png)]](https://i-blog.csdnimg.cn/blog_migrate/ee0eb851aa271dafe9f37e3e2f7320ce.jpeg#pic_center)
-
(b)偏差-方差的权衡
为了更好的理解模型的泛化能力,我们再来看看“偏差-方差分解”。首先需要定义几个符号:
![[外链图片转存失败,源站可能有防盗链机制,建议将图片保存下来直接上传(img-Ui93eAgy-1616430710075)(./T3-2.jpg)]](https://i-blog.csdnimg.cn/blog_migrate/0d265acbf4cf7563253074fe7f61b3c0.jpeg#pic_center)
-
(1)方差
定义样本数相同的不同训练集产生的方差为:
v a r ( x ) = E D [ ( f ( x ; D ) − f ˉ ( x ) ) 2 ] var(x) = E_D[(f(x;D) - \bar{f}(x))^2] var(x)=ED[(f(x;D)−fˉ(x))2]方差度量了同样大小的训练集的变动所导致的学习性能的变化,即刻画了数据扰动所造成的影响。
-
(2)偏差
定义输出与真实标记的差别为偏差:
b i a s 2 ( x ) = ( f ˉ ( x ) − y ) 2 bias^2(x) = (\bar{f}(x) - y)^2 bias2(x)=(fˉ(x)−y)2偏差度量了学习算法的期望预测与真实结果的偏离程度,即刻画了学习算法本身的拟合能力。
-
(3)噪声
ϵ 2 = E D [ ( y D − y ) 2 ] \epsilon^2 = E_D[(y_D - y)^2] ϵ2=ED[(yD−y)2]
噪声则表达了在当前任务上任何学习算法所能达到的期望泛化误差的下界,即刻画了学习问题本身的难度。
偏差度量的是单个模型的学习能力,而方差度量的是同一个模型在不同数据集上的稳定性。
我们可以将测试均方误差的期望值可以分解为
f
^
(
x
0
)
\hat{f}(x_0)
f^(x0)的方差、
f
^
(
x
0
)
\hat{f}(x_0)
f^(x0)的偏差平方和误差项
ϵ
\epsilon
ϵ的方差。我们首先假定噪声期望为零:
E
D
[
y
D
−
y
]
=
0
E_D[y_D - y] = 0
ED[yD−y]=0
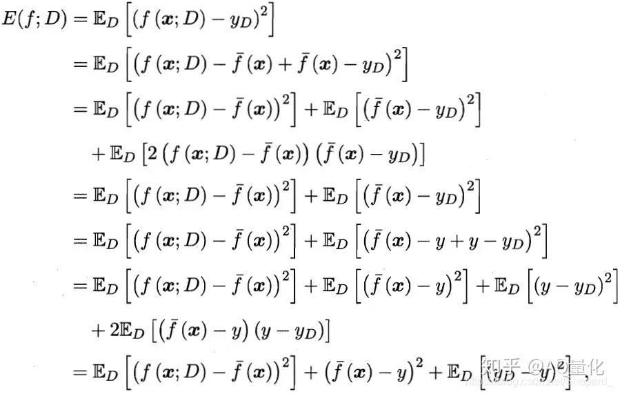
通过多项式运算,可以对测试均方误差进行分解:
![[外链图片转存失败,源站可能有防盗链机制,建议将图片保存下来直接上传(img-DscBXh3Y-1616430710076)(./T3-3.jpg)]](https://i-blog.csdnimg.cn/blog_migrate/774154aa425c9104d8b32181a6abf4d3.jpeg#pic_center)
此部分内容主要来自于周志华老师的“西瓜书”,具体公式注解可参考文睿大佬的“南瓜书”。
从公式分解可以看出,对测试均方误差的优化就是同时最小化偏差的平方和方差,上面我们已经理解了两者存在着相互博弈的情况,所以我们需要找到方差与偏差的权衡,使得测试均方误差最小。
- ©特征提取
在前面的讨论中,我们已经明确一个目标,就是:我们要选择一个测试误差达到最小的模型。但是实际上我们很难对实际的测试误差做精确的计算,因此我们要对测试误差进行估计,估计的方式有两种:训练误差修正与交叉验证。- 训练误差修正:
前面的讨论我们已经知道,模型越复杂,训练误差越小,测试误差先减后增。因此,我们先构造一个特征较多的模型使其过拟合,此时训练误差很小而测试误差很大,那这时我们加入关于特征个数的惩罚。因此,当我们的训练误差随着特征个数的增加而减少时,惩罚项因为特征数量的增加而增大,抑制了训练误差随着特征个数的增加而无休止地减小。具体的数学量如下:
设p为模型特征个数, S S E = ∑ i = 1 N ( y i − f ^ ( x i ) ) 2 SSE = \sum\limits_{i=1}^{N}(y_i-\hat{f}(x_i))^2 SSE=i=1∑N(yi−f^(xi))2,则有
AIC赤池信息量准则: A I C = n l n ( S S E ) + 2 p AIC = nln(SSE) + 2p AIC=nln(SSE)+2p
BIC贝叶斯信息量准则: B I C = n l n ( S S E ) + l n ( n ) p BIC = nln(SSE) + ln(n)p BIC=nln(SSE)+ln(n)p
- 训练误差修正:
二者相比,BIC准则加大了对自变量数目的惩罚力度。这个思想主要来自于统计学,在sklearn中似乎没有集成(也许是我没找到)。
- 交叉验证:
前面讨论的对训练误差修正得到测试误差的估计是间接方法,这种方法的桥梁是训练误差,而交叉验证则是对测试误差的直接估计。交叉验证比训练误差修正的优势在于:能够给出测试误差的一个直接估计。在这里只介绍K折交叉验证:我们把训练样本分成K等分,然后用K-1个样本集当做训练集,剩下的一份样本集为验证集去估计由K-1个样本集得到的模型的精度,这个过程重复K次取平均值得到测试误差的一个估计 C V ( K ) = 1 K ∑ i = 1 K M S E i CV_{(K)} = \frac{1}{K}\sum\limits_{i=1}^{K}MSE_i CV(K)=K1i=1∑KMSEi。
在测试误差能够被合理的估计出来以后,我们做特征选择的目标就是:从p个特征中选择m个特征,使得对应的模型的测试误差的估计最小。对应的方法有:
- 最优子集选择:
(i) 记不含任何特征的模型为 M 0 M_0 M0,计算这个 M 0 M_0 M0的测试误差。
(ii) 在 M 0 M_0 M0基础上增加一个变量,计算p个模型的RSS,选择RSS最小的模型记作 M 1 M_1 M1,并计算该模型 M 1 M_1 M1的测试误差。
(iii) 再增加变量,计算p(p-1)个模型的RSS,并选择RSS最小的模型记作 M 2 M_2 M2,并计算该模型 M 2 M_2 M2的测试误差。
(iv) 重复以上过程直到拟合的模型有p个特征为止,并选择p+1个模型 { M 0 , M 1 , . . . , M p } \{M_0,M_1,...,M_p \} {M0,M1,...,Mp}中测试误差最小的模型作为最优模型。 - 向前逐步选择:
最优子集选择虽然在原理上很直观,但是随着数据特征维度p的增加,子集的数量为 2 p 2^p 2p,计算效率非常低下且需要的计算内存也很高,在大数据的背景下显然不适用。因此,我们需要把最优子集选择的运算效率提高,因此向前逐步选择算法的过程如下:
(i) 记不含任何特征的模型为 M 0 M_0 M0,计算这个 M 0 M_0 M0的测试误差。
(ii) 在 M 0 M_0 M0基础上增加一个变量,计算p个模型的RSS,选择RSS最小的模型记作 M 1 M_1 M1,并计算该模型 M 1 M_1 M1的测试误差。
(iii) 在最小的RSS模型下继续增加一个变量,选择RSS最小的模型记作 M 2 M_2 M2,并计算该模型 M 2 M_2 M2的测试误差。
(iv) 以此类推,重复以上过程知道拟合的模型有p个特征为止,并选择p+1个模型 { M 0 , M 1 , . . . , M p } \{M_0,M_1,...,M_p \} {M0,M1,...,Mp}中测试误差最小的模型作为最优模型。
向前逐步选择只用计算p(p-1)\2个子集。最优子集是全局最优算法,向前选择是贪心算法,每一步都是前一步的最优。
(d) 压缩估计(正则化):
除了刚刚讨论的直接对特征自身进行选择以外,我们还可以对回归的系数进行约束或者加罚的技巧对p个特征的模型进行拟合,显著降低模型方差,这样也会提高模型的拟合效果。具体来说,就是将回归系数往零的方向压缩,这也就是为什么叫压缩估计的原因了。
- 岭回归(L2正则化的例子):
在线性回归中,我们的损失函数为 J ( w ) = ∑ i = 1 N ( y i − w 0 − ∑ j = 1 p w j x i j ) 2 J(w) = \sum\limits_{i=1}^{N}(y_i-w_0-\sum\limits_{j=1}^{p}w_jx_{ij})^2 J(w)=i=1∑N(yi−w0−j=1∑pwjxij)2,我们在线性回归的损失函数的基础上添加对系数的约束或者惩罚,即:
J ( w ) = ∑ i = 1 N ( y i − w 0 − ∑ j = 1 p w j x i j ) 2 + λ ∑ j = 1 p w j 2 , 其 中 , λ ≥ 0 w ^ = ( X T X + λ I ) − 1 X T Y J(w) = \sum\limits_{i=1}^{N}(y_i-w_0-\sum\limits_{j=1}^{p}w_jx_{ij})^2 + \lambda\sum\limits_{j=1}^{p}w_j^2,\;\;其中,\lambda \ge 0\\ \hat{w} = (X^TX + \lambda I)^{-1}X^TY J(w)=i=1∑N(yi−w0−j=1∑pwjxij)2+λj=1∑pwj2,其中,λ≥0w^=(XTX+λI)−1XTY
调节参数 λ \lambda λ的大小是影响压缩估计的关键, λ \lambda λ越大,惩罚的力度越大,系数则越趋近于0,反之,选择合适的 λ \lambda λ对模型精度来说十分重要。岭回归通过牺牲线性回归的无偏性降低方差,有可能使得模型整体的测试误差较小,提高模型的泛化能力。 - Lasso回归(L1正则化的例子):
岭回归的一个很显著的特点是:将模型的系数往零的方向压缩,但是岭回归的系数只能呢个趋于0但无法等于0,换句话说,就是无法做特征选择。能否使用压缩估计的思想做到像特征最优子集选择那样提取出重要的特征呢?答案是肯定的!我们只需要对岭回归的优化函数做小小的调整就行了,我们使用系数向量的L1范数替换岭回归中的L2范数:
J ( w ) = ∑ i = 1 N ( y i − w 0 − ∑ j = 1 p w j x i j ) 2 + λ ∑ j = 1 p ∣ w j ∣ , 其 中 , λ ≥ 0 J(w) = \sum\limits_{i=1}^{N}(y_i-w_0-\sum\limits_{j=1}^{p}w_jx_{ij})^2 + \lambda\sum\limits_{j=1}^{p}|w_j|,\;\;其中,\lambda \ge 0 J(w)=i=1∑N(yi−w0−j=1∑pwjxij)2+λj=1∑p∣wj∣,其中,λ≥0
!!!重要:为什么Losso能做到特征选择而岭回归却不能呢个做到呢?(如图:左边为lasso,右边为岭回归)
![[外链图片转存失败,源站可能有防盗链机制,建议将图片保存下来直接上传(img-7tgJ4XNU-1616430710077)(./1.20.png)]](https://i-blog.csdnimg.cn/blog_migrate/aaecbff002a31d1e0fd2458c7bac3539.png#pic_center)
椭圆形曲线为RSS等高线,菱形和圆形区域分别代表了L1和L2约束,Lsaao回归和岭回归都是在约束下的回归,因此最优的参数为椭圆形曲线与菱形和圆形区域相切的点。但是Lasso回归的约束在每个坐标轴上都有拐角,因此当RSS曲线与坐标轴相交时恰好回归系数中的某一个为0,这样就实现了特征提取。反观岭回归的约束是一个圆域,没有尖点,因此与RSS曲线相交的地方一般不会出现在坐标轴上,因此无法让某个特征的系数为0,因此无法做到特征提取。
套索回归的优化不能用梯度下降法,似乎用到“最小叫回归”,留个坑
(e) 降维:
到目前为止,我们所讨论的方法对方差的控制有两种方式:一种是使用原始变量的子集,另一种是将变量系数压缩至零。但是这些方法都是基于原始特征
x
1
,
.
.
.
,
x
p
x_1,...,x_p
x1,...,xp得到的,现在我们探讨一类新的方法:将原始的特征空间投影到一个低维的空间实现变量的数量变少,如:将二维的平面投影至一维空间。机器学习领域中所谓的降维就是指采用某种映射方法,将原高维空间中的数据点映射到低维度的空间中。降维的本质是学习一个映射函数 f : x->y,其中x是原始数据点的表达,目前最多使用向量表达形式。 y是数据点映射后的低维向量表达,通常y的维度小于x的维度(当然提高维度也是可以的)。f可能是显式的或隐式的、线性的或非线性的。目前大部分降维算法处理向量表达的数据,也有一些降维算法处理高阶张量表达的数据。之所以使用降维后的数据表示是因为在原始的高维空间中,包含有冗余信息以及噪音信息,在实际应用例如图像识别中造成了误差,降低了准确率;而通过降维,我们希望减少 冗余信息 所造成的误差,提高识别(或其他应用)的精度。又或者希望通过降维算法来寻找数据内部的本质结构特征。在很多算法中,降维算法成为了数据预处理的一部分,如PCA。事实上,有一些算法如果没有降维预处理,其实是很难得到很好的效果的。 (摘自:rosenor1博客)
主成分分析(PCA):
主成分分析的思想:通过最大投影方差 将原始空间进行重构,即由特征相关重构为无关,即落在某个方向上的点(投影)的方差最大。在进行下一步推导之前,我们先把样本均值和样本协方差矩阵推广至矩阵形式:
样本均值Mean:
x
ˉ
=
1
N
∑
i
=
1
N
x
i
=
1
N
X
T
1
N
,
其
中
1
N
=
(
1
,
1
,
.
.
.
,
1
)
N
T
\bar{x} = \frac{1}{N}\sum\limits_{i=1}^{N}x_i = \frac{1}{N}X^T1_N,\;\;\;其中1_N = (1,1,...,1)_{N}^T
xˉ=N1i=1∑Nxi=N1XT1N,其中1N=(1,1,...,1)NT
样本协方差矩阵
S
2
=
1
N
∑
i
=
1
N
(
x
i
−
x
ˉ
)
(
x
i
−
x
ˉ
)
T
=
1
N
X
T
H
X
,
其
中
,
H
=
I
N
−
1
N
1
N
1
N
T
S^2 = \frac{1}{N}\sum\limits_{i=1}^{N}(x_i-\bar{x})(x_i-\bar{x})^T = \frac{1}{N}X^THX,\;\;\;其中,H = I_N - \frac{1}{N}1_N1_N^T
S2=N1i=1∑N(xi−xˉ)(xi−xˉ)T=N1XTHX,其中,H=IN−N11N1NT
最大投影方差的步骤:
(i) 中心化:
x
i
−
x
ˉ
x_i - \bar{x}
xi−xˉ
(ii) 计算每个点
x
1
,
.
.
.
,
x
N
x_1,...,x_N
x1,...,xN至
u
⃗
1
\vec{u}_1
u1方向上的投影:
(
x
i
−
x
ˉ
)
u
⃗
1
,
∣
∣
u
⃗
1
∣
∣
=
1
(x_i-\bar{x})\vec{u}_1,\;\;\;||\vec{u}_1|| = 1
(xi−xˉ)u1,∣∣u1∣∣=1
(iii) 计算投影方差:
J
=
1
N
∑
i
=
1
N
[
(
x
i
−
x
ˉ
)
T
u
⃗
1
]
2
,
∣
∣
u
⃗
1
∣
∣
=
1
J = \frac{1}{N}\sum\limits_{i=1}^{N}[(x_i-\bar{x})^T\vec{u}_1]^2,\;\;\;||\vec{u}_1|| = 1
J=N1i=1∑N[(xi−xˉ)Tu1]2,∣∣u1∣∣=1
(iv) 最大化投影方差求
u
⃗
1
\vec{u}_1
u1:
u
ˉ
1
=
a
r
g
m
a
x
u
1
1
N
∑
i
=
1
N
[
(
x
i
−
x
ˉ
)
T
u
⃗
1
]
2
s
.
t
.
u
⃗
1
T
u
⃗
1
=
1
(
u
⃗
1
往
后
不
带
向
量
符
号
)
\bar{u}_1 = argmax_{u_1}\;\;\frac{1}{N}\sum\limits_{i=1}^{N}[(x_i-\bar{x})^T\vec{u}_1]^2 \\ \;\;\;s.t. \vec{u}_1^T\vec{u}_1 = 1 (\vec{u}_1往后不带向量符号)
uˉ1=argmaxu1N1i=1∑N[(xi−xˉ)Tu1]2s.t.u1Tu1=1(u1往后不带向量符号)
得到:
J
=
1
N
∑
i
=
1
N
[
(
x
i
−
x
ˉ
)
T
u
⃗
1
]
2
=
1
N
∑
i
=
1
N
[
u
1
T
(
x
i
−
x
ˉ
)
(
x
i
−
x
ˉ
)
T
u
1
]
=
u
1
T
[
1
N
∑
i
=
1
N
(
x
i
−
x
ˉ
)
(
x
i
−
x
ˉ
)
T
]
u
1
=
u
1
T
S
2
u
1
J = \frac{1}{N}\sum\limits_{i=1}^{N}[(x_i-\bar{x})^T\vec{u}_1]^2 = \frac{1}{N}\sum\limits_{i=1}^{N}[u_1^T(x_i-\bar{x})(x_i-\bar{x})^Tu_1]\\ \; = u_1^T[\frac{1}{N}\sum\limits_{i=1}^{N}(x_i-\bar{x})(x_i - \bar{x})^T]u_1 = u_1^TS^2u_1
J=N1i=1∑N[(xi−xˉ)Tu1]2=N1i=1∑N[u1T(xi−xˉ)(xi−xˉ)Tu1]=u1T[N1i=1∑N(xi−xˉ)(xi−xˉ)T]u1=u1TS2u1
即:
u
^
1
=
a
r
g
m
a
x
u
1
u
1
T
S
2
u
1
,
s
.
t
.
u
1
T
u
1
=
1
L
(
u
1
,
λ
)
=
u
1
T
S
2
u
1
+
λ
(
1
−
u
1
T
u
1
)
∂
L
∂
u
1
=
2
S
2
u
1
−
2
λ
u
1
=
0
即
:
S
2
u
1
=
λ
u
1
\hat{u}_1 = argmax_{u_1}u_1^TS^2u_1,\;\;\;s.t.u_1^Tu_1 = 1\\ L(u_1,\lambda) = u_1^TS^2u_1 + \lambda (1-u_1^Tu_1)\\ \frac{\partial L}{\partial u_1} = 2S^2u_1-2\lambda u_1 = 0\\ 即:S^2u_1 = \lambda u_1
u^1=argmaxu1u1TS2u1,s.t.u1Tu1=1L(u1,λ)=u1TS2u1+λ(1−u1Tu1)∂u1∂L=2S2u1−2λu1=0即:S2u1=λu1
可以看到:
λ
\lambda
λ为
S
2
S^2
S2的特征值,
u
1
u_1
u1为
S
2
S^2
S2的特征向量。因此我们只需要对中心化后的协方差矩阵进行特征值分解,得到的特征向量即为投影方向。如果需要进行降维,那么只需要取p的前M个特征向量即可。
PCA也有通过最小重构距离来推到,可以参考《白板推到》(我还没看)
另外,贴一个简单的PCA实现过程。
特征提取的实例:向前逐步回归
案例来源:https://blog.youkuaiyun.com/weixin_44835596/article/details/89763300
根据AIC准则定义向前逐步回归进行变量筛选
#定义向前逐步回归函数
def forward_select(data,target):
variate=set(data.columns) #将字段名转换成字典类型
variate.remove(target) #去掉因变量的字段名
selected=[]
current_score,best_new_score=float('inf'),float('inf') #目前的分数和最好分数初始值都为无穷大(因为AIC越小越好)
#循环筛选变量
while variate:
aic_with_variate=[]
for candidate in variate: #逐个遍历自变量
formula="{}~{}".format(target,"+".join(selected+[candidate])) #将自变量名连接起来
aic=ols(formula=formula,data=data).fit().aic #利用ols训练模型得出aic值
aic_with_variate.append((aic,candidate)) #将第每一次的aic值放进空列表
aic_with_variate.sort(reverse=True) #降序排序aic值
best_new_score,best_candidate=aic_with_variate.pop() #最好的aic值等于删除列表的最后一个值,以及最好的自变量等于列表最后一个自变量
if current_score>best_new_score: #如果目前的aic值大于最好的aic值
variate.remove(best_candidate) #移除加进来的变量名,即第二次循环时,不考虑此自变量了
selected.append(best_candidate) #将此自变量作为加进模型中的自变量
current_score=best_new_score #最新的分数等于最好的分数
print("aic is {},continuing!".format(current_score)) #输出最小的aic值
else:
print("for selection over!")
break
formula="{}~{}".format(target,"+".join(selected)) #最终的模型式子
print("final formula is {}".format(formula))
model=ols(formula=formula,data=data).fit()
return(model)
import pandas as pd
import numpy as np
from sklearn import datasets
import statsmodels.api as sm #最小二乘
from statsmodels.formula.api import ols #加载ols模型
boston = datasets.load_boston() # 返回一个类似于字典的类
X = boston.data
y = boston.target
features = boston.feature_names
boston_data = pd.DataFrame(X,columns=features)
boston_data["Price"] = y
boston_data.head()
forward_select(data=boston_data,target="Price")
aic is 3286.974956900157,continuing!
aic is 3171.5423142992013,continuing!
aic is 3114.0972674193326,continuing!
aic is 3097.359044862759,continuing!
aic is 3069.4386331672176,continuing!
aic is 3057.9390497191152,continuing!
aic is 3048.438382711162,continuing!
aic is 3042.274993098419,continuing!
aic is 3040.154562175143,continuing!
aic is 3032.0687017003256,continuing!
aic is 3021.7263878250624,continuing!
for selection over!
final formula is Price~LSTAT+RM+PTRATIO+DIS+NOX+CHAS+B+ZN+CRIM+RAD+TAX
<statsmodels.regression.linear_model.RegressionResultsWrapper at 0x17e32062ca0>
lm=ols("Price~LSTAT+RM+PTRATIO+DIS+NOX+CHAS+B+ZN+CRIM+RAD+TAX",data=boston_data).fit()
lm.summary()
| Dep. Variable: | Price | R-squared: | 0.741 |
|---|---|---|---|
| Model: | OLS | Adj. R-squared: | 0.735 |
| Method: | Least Squares | F-statistic: | 128.2 |
| Date: | Tue, 23 Mar 2021 | Prob (F-statistic): | 5.54e-137 |
| Time: | 00:20:53 | Log-Likelihood: | -1498.9 |
| No. Observations: | 506 | AIC: | 3022. |
| Df Residuals: | 494 | BIC: | 3072. |
| Df Model: | 11 | ||
| Covariance Type: | nonrobust |
| coef | std err | t | P>|t| | [0.025 | 0.975] | |
|---|---|---|---|---|---|---|
| Intercept | 36.3411 | 5.067 | 7.171 | 0.000 | 26.385 | 46.298 |
| LSTAT | -0.5226 | 0.047 | -11.019 | 0.000 | -0.616 | -0.429 |
| RM | 3.8016 | 0.406 | 9.356 | 0.000 | 3.003 | 4.600 |
| PTRATIO | -0.9465 | 0.129 | -7.334 | 0.000 | -1.200 | -0.693 |
| DIS | -1.4927 | 0.186 | -8.037 | 0.000 | -1.858 | -1.128 |
| NOX | -17.3760 | 3.535 | -4.915 | 0.000 | -24.322 | -10.430 |
| CHAS | 2.7187 | 0.854 | 3.183 | 0.002 | 1.040 | 4.397 |
| B | 0.0093 | 0.003 | 3.475 | 0.001 | 0.004 | 0.015 |
| ZN | 0.0458 | 0.014 | 3.390 | 0.001 | 0.019 | 0.072 |
| CRIM | -0.1084 | 0.033 | -3.307 | 0.001 | -0.173 | -0.044 |
| RAD | 0.2996 | 0.063 | 4.726 | 0.000 | 0.175 | 0.424 |
| TAX | -0.0118 | 0.003 | -3.493 | 0.001 | -0.018 | -0.005 |
| Omnibus: | 178.430 | Durbin-Watson: | 1.078 |
|---|---|---|---|
| Prob(Omnibus): | 0.000 | Jarque-Bera (JB): | 787.785 |
| Skew: | 1.523 | Prob(JB): | 8.60e-172 |
| Kurtosis: | 8.300 | Cond. No. | 1.47e+04 |
Notes:
[1] Standard Errors assume that the covariance matrix of the errors is correctly specified.
[2] The condition number is large, 1.47e+04. This might indicate that there are
strong multicollinearity or other numerical problems.
我似乎记得解决多重共线性的方法是增大样本量。。。
岭回归实例分享:
sklearn.linear_model.ridge_regression(X, y, alpha, *, sample_weight=None, solver=‘auto’, max_iter=None, tol=0.001, verbose=0, random_state=None, return_n_iter=False, return_intercept=False, check_input=True)
https://scikit-learn.org/stable/modules/generated/sklearn.linear_model.ridge_regression.html?highlight=rid#sklearn.linear_model.ridge_regression
- 参数:
alpha:较大的值表示更强的正则化。浮点数
sample_weight:样本权重,默认无。
solver:求解方法,{‘auto’, ‘svd’, ‘cholesky’, ‘lsqr’, ‘sparse_cg’, ‘sag’, ‘saga’}, 默认=’auto’。“ svd”使用X的奇异值分解来计算Ridge系数。'cholesky’使用标准的scipy.linalg.solve函数通过dot(XT,X)的Cholesky分解获得封闭形式的解。'sparse_cg’使用scipy.sparse.linalg.cg中的共轭梯度求解器。作为一种迭代算法,对于大规模数据(可能设置tol和max_iter),此求解器比“ Cholesky”更合适。 lsqr”使用专用的正则化最小二乘例程scipy.sparse.linalg.lsqr。它是最快的,并且使用迭代过程。“ sag”使用随机平均梯度下降,“ saga”使用其改进的无偏版本SAGA。两种方法都使用迭代过程,并且当n_samples和n_features都很大时,通常比其他求解器更快。请注意,只有在比例大致相同的要素上才能确保“ sag”和“ saga”快速收敛。您可以使用sklearn.preprocessing中的缩放器对数据进行预处理。最后五个求解器均支持密集和稀疏数据。但是,当fit_intercept为True时,仅’sag’和’sparse_cg’支持稀疏输入。
from sklearn import linear_model
reg_rid = linear_model.Ridge(alpha=.5)
reg_rid.fit(X,y)
reg_rid.score(X,y)
0.739957023371629
Lasso实例分享:
class sklearn.linear_model.Lasso(alpha=1.0, *, fit_intercept=True, normalize=False, precompute=False, copy_X=True, max_iter=1000, tol=0.0001, warm_start=False, positive=False, random_state=None, selection=‘cyclic’)
https://scikit-learn.org/stable/modules/generated/sklearn.linear_model.Lasso.html?highlight=lasso#sklearn.linear_model.Lasso
- 参数:
alpha:正则化强度,1.0代表标准最小二乘。
fit_intercept:是否计算模型截距。默认true。
normalize:是否标准化,默认false。
positive:是否强制系数为正,默认false。
from sklearn import linear_model
reg_lasso = linear_model.Lasso(alpha = 0.5)
reg_lasso.fit(X,y)
reg_lasso.score(X,y)
0.7140164719858566
这里可以看出岭回归效果优于套索回归
内容主要整理于网络,且个人初学,可能存有错误,记录为主。
本文介绍了如何通过训练误差修正、交叉验证和特征选择技术优化模型,包括AIC和BIC准则的使用,以及岭回归和Lasso回归的正则化策略。此外,还探讨了PCA降维在数据预处理中的作用。
2451

被折叠的 条评论
为什么被折叠?



