一、产品描述:
FITC-Biotin,荧光素-生物素,即异硫氰酸荧光素标记生物素,是一种在生物学中常用的示踪剂,用于标记和追踪生物分子。其化学性质主要表现为以下几个方面:
首先,FITC-Biotin由荧光素与生物素结合而成,既保留了荧光素的荧光特性,又保留了生物素的亲和力和结合能力。这种复合物具有高度的特异性,其结合通常依赖于生物素与目标分子(如蛋白质、核酸或细胞表面受体)的结合位点之间的相互作用。
其次,荧光素部分,特别是FITC(异硫氰酸荧光素),是一种小分子荧光素,其效率取决于溶液的pH值。因此,在使用FITC-Biotin时,需要注意溶液的酸碱度,以确保其荧光特性的稳定。FITC在冷暗干燥处可保存多年,是目前应用广泛的荧光素。其分子量为389.4,吸收光波长为490~495nm,发射光波长为520~530nm,呈现明亮的黄绿色荧光。
此外,生物素部分则具有高度的亲和力,能够与目标分子进行特异性结合。这种结合通常是高度特异性的,依赖于生物素与目标分子的结合位点之间的相互作用。
二、理论分析:
中文名:荧光素-生物素
英文名:FITC-Biotin,Fluorescein Biotin
CAS号:134759-22-1
化学式:C42H50N6O8S2
分子量:831.02
三、产品详情:
外观:固体/粉末
规格:10mg、25mg、50mg
货期:根据具体的产品而定
纯度:95%
用途:实验用途,科学研发,可定制服务
储存条件: 需要存储在-20°C,避光,避湿的环境,注意取用需放置室温后再开盖取用,避免吸潮,避免反复冻溶。
注意事项:所有的试剂不可用于临床,不可用于食用,人体。
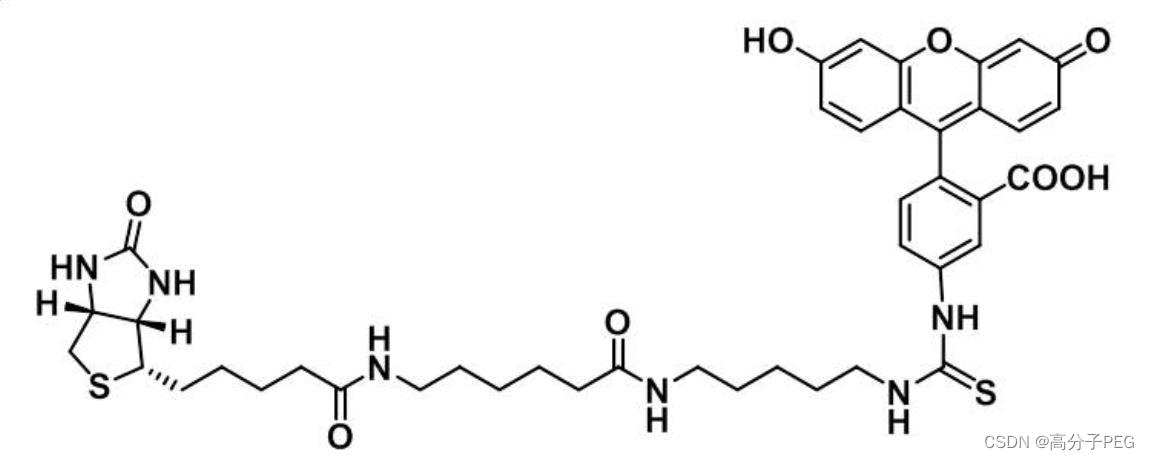
四、FITC-Biotin结构式:

五、相关试剂产品:
CAS:1620523-64-9,Biotin-SS-azide
CAS:122266-55-1,Biotin-SS-NHS ester
CAS:325143-98-4,Biotin-SS-Sulfo-NHS ester
CAS:142439-92-7 ,Biotin-bisamido-SS-NHS ester
CAS:1430408-09-5,Biotin-PEG3-SS-DBCO
CAS:1260247-54-8,Biotin-PEG4-SS-Alkyne
CAS:111790-37-5,Biotin-NH2
CAS:2241685-22-1 ,DADPS Biotin Alykne
CAS:1260247-50-4,Biotin-Dadps-azide
CAS:2599839-59-3,Biotin-PEG4-DADPS-Picolyl-azide
西安凯新生物科技有限公司WMJ温馨提示,所有的定制化合物都有专人负责设计和合成,并有合成仪器和经验丰富的技术总监指导管理,确保在承诺的时间内提供理想的产品。
本文介绍了荧光素-生物素(FITC-Biotin)的特性,包括其由荧光素和生物素组成,具有高特异性及对溶液pH的敏感性。文章详细阐述了产品详情、储存条件以及注意事项,还提及了相关试剂产品。
823

被折叠的 条评论
为什么被折叠?



