一、算法步骤
1.输入一个无向图,Expansion的幂e和Inflation的参数r。
2.创建邻接矩阵。
3.对每个结点添加自循环(可选的)。
4.标准化矩阵(每个元素除以所在列的所有元素之和)。
5.计算矩阵的第e次幂。
6.用参数r对求得的矩阵进行Inflation处理。
7.重复第5步和第6步,直到状态稳定不变(收敛)。
8.把最终结果矩阵转换成聚簇。
二、实例1:
- 输入:一个非全连通图,Expansion 时的参数ee和 Inflation 的参数rr。


6. 重复步骤5和6,直到达到稳定
7. 将结果矩阵转化为聚簇,由于本例中是将有边的置为1,而本例的四个节点都是相连的,所以四个最后结果是四个节点为一个组,下面来举个特殊点的例子。
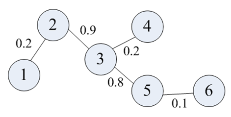
三、实例2
(1)如下图所示:

(2)邻接矩阵+自环得到的矩阵

(3)结果:节点2,3,5聚在一起

四、实例3:
(1)如下图所示

(2)邻接矩阵+自环得到的矩阵

(3)结果:节点1,2,4一组,5,6,7一组

源代码请查阅链接:https://download.youkuaiyun.com/download/RobotMujie/12667177
本文详细介绍了谱聚类算法的步骤,包括输入无向图、设置Expansion和Inflation参数、创建邻接矩阵、标准化矩阵、计算矩阵幂、Inflation处理等,并通过三个实例展示了算法的应用过程,最终将矩阵转换为聚簇。
33

被折叠的 条评论
为什么被折叠?



