2.2.1 整型数据类型
以C语言为例,32和64位程序的不同类型的整型数据取值范围如下所示:
(32bit)

(64bit)

2.2.2 无符号数的编码
无符号数的表示有一个很重要的属性:介于0~-1之间的数有一个唯一的w位的值编码。例如,有一个无符号的十进制数11,有一个4位的二进制表示,即1011。
2.2.3 补码编码
计算机中使用补码表示负数。
对于补码来说,二进制表示中的最高有效位叫做符号位,0表示正数,1表示负数,例如,0001表示1,0101表示5,1011表示-5,1111表示-1。
w位补码所能表示的最小值就是[10...0],整数值表示-,最大值是[01...0],整数值表示
。补码表示也具有唯一性。
C 语言标准并没有要求要用补码形式来表示有符号整数,但是几乎所有的机器都是这么做的。
2.2.4 有符号数和无符号数之间的转换
对于大多数C 语言的实现,处理同样字长的有符号数和无符号数之间相互转换的一般规则是:数值可能会改变,但是位模式不变。
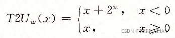
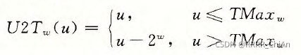
从补码转换成无符号数的数学公式为:

从无符号数转换成补码的数学公式为:
其中0≤u≤
2.2.5 C语言中的有符号数与无符号数
由于C 语言对同时包含有符号和无符号数表达式的这种处理方式,出现了一些奇特的行为。当执行一个运算时,如果它的一个运算数是有符号的而另一个是无符号的,那么C语言会隐式地将有符号参数强制类型转换为无符号数,并假设这两个数都是非负的,来执 行这个运算。就像我们将要看到的,这种方法对于标准的算术运算来说并无多大差异,但 是对于像<和>这样的关系运算符来说,它会导致非直观的结果。下展示了一些关系表达式的示例以及它们得到的求值结果,这里假设数据类型int 表示为32 位补码。考虑比较式-1<0U 。因为第二个运算数是无符号的,第一个运算数就会被隐式地转换为无符号数,因此表达式就等价于4294967295U<0U(), 这个答案显然是错的。其他那些示例也可以通过相似的分析来理解。

2.2.6 扩展一个数字的位表示
一个常见的运算是在不同字长的整数之间转换,同时又保持数值不变。当然,当目标数据类型太小以至于不能表示想要的值时,这根本就是不可能的。然而,从一个较小的数据类型转换到一个较大的类型,应该总是可能的。
有两种扩展表示,分别为用于无符号数的零扩展和用于补码数的符号扩展。
顾名思义,零扩展就是前面加0,符号扩展就是前面加代表符号的0/1。
2.2.7 截断数字
对于无符号数,截断后的结果 = 截断前的结果 mod ,其中k表示截断k位
对于有符号数,阶段后的结果 = ,其中k表示截断k位
2.2.8 关于有符号数与无符号数的建议
有符号数到无符号数的隐式强制类型转换导致了某些非直观的行为。而这些非直观的特性经常导致程序错误,并且这种包含隐式强制类型转换的细微差别的错误很难被发现。因为这种强制类型转换是在代码中没有明确指示的情况下发生的,程序员经常忽视了它的影响。
简单来说,不要闲得无聊在有符号和无符号里面来回横跳。
本文详细介绍了C语言中32位和64位整型数据的取值范围,无符号数和补码编码的概念,以及两者之间的转换规则。强调了有符号数与无符号数混合运算可能导致的非直观行为,并提供了关系运算的示例。还讨论了数字位表示的扩展和截断操作,最后给出了关于避免在有符号和无符号类型间转换的建议。
690

被折叠的 条评论
为什么被折叠?



