羿阁 发自 凹非寺
量子位 | 公众号 QbitAI
家人们,一种很奇葩的走路方式火了!
不仅消耗的卡路里是普通步行的2.5倍,还可以增强心血管健康。
至于能不能学会,就看你的脸皮有多厚了
。

没错!就是上图这种走三步退两步、高抬腿、妈见打的方式。
不要嫌画质渣,这是来自1971年喜剧《蠢步子部门》中的片段,被来自美国的科学家扒出后进行研究,并将此以角色的名字命名为“茶包走(Teabag walk)”。
科学家们还表示,如果“茶包走”能早早推广,那么我们现在可能生活在一个更健康的社会之中。
据他们的说法,按成年人每周要进行75分钟剧烈活动的建议来说,只需每天“茶包走”11分钟左右,就能轻松达到这一目标。

有网友看完已经蠢蠢欲动,表示自己绝对要试试,这可比去健身房便宜多了。

甚至有人提出希望“茶包走”能变成奥运会项目,这画面一定很精彩~

那么,“茶包走”真的有这么神奇?科学家们是怎么得出这一结论的?
体重越重效果越好
这篇有趣的论文刊登于《英国医学杂志》的圣诞特刊上。
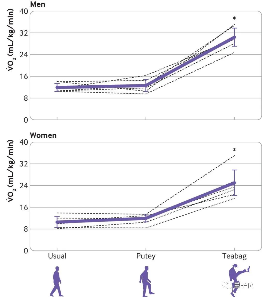
一个美国研究小组找来13名健康的成年人,其中包括6名女性、7名男性,年龄在22-71岁之间。
在测量了他们的身高和体重后,要求他们在一个长30米的室内场地进行三次步行试验,每次持续时间为5分钟。
第一次试验中,研究人员只是让他们以正常的方式走一圈。
接下来则是重头戏,参与者们被要求分别模仿喜剧《蠢步子部门》中“茶包”和“普蒂”两个角色,各走一圈。
这里一定要给大家欣赏一下参与者们各异的姿势,这位是模仿茶包:

这位模仿的是普蒂,说真的,这姿势没点社牛在身上真是走不出来:

在整个过程中,参与者们身上都佩戴了便携式代谢测量系统,来记录他们的氧摄入量(mL/kg/min)、能量消耗量(kcal/kg/min)和运动强度(METs)——每分钟消耗的卡路里量。
研究人员还特意提到,由于参与者们经常笑场,他们还删去了大家笑场时的数据,可以说非常严谨了。
最终结果显示,不管是男性还是女性,“茶包走”带来的能量消耗最多,大约是正常步行的2.5倍。
更直观的来说,如果你每天花12-19分钟用“茶包走”代替普通走路方式,每天将多消耗100千卡的能量。

并且,从氧摄入量的变化上也能看出,“茶包走”还能起到增加心肺功能锻炼的作用,对心血管健康很有益。

除此之外,“茶包走”的运动强度指标甚至达到了8METs,这已经相当于剧烈运动的水准。
这也就有了开头科学家们的建议:只需每天“茶包走”11分钟左右,就能轻松达到“每周要进行75分钟剧烈活动”的成就。
而且这11分钟也不需要一口气完成,可以一天内分多次进行,效果是一样的,甚至单次1-2分钟的“茶包走”也会对心血管产生好处。
因此,大家可以选择在自己方便的时间、地点进行,当然如果你还不够社牛,室内也可以。

“茶包走”对于减肥人士也非常友好,试验数据显示:体重越大的人,在“茶包走”中消耗的能量也越多。

怎么样,看完这多么实打实的数据,你对“茶包走”心动了吗?
One More Thing
其实,《英国医学杂志》圣诞特刊的研究一直以轻松诙谐闻名。
我们往前追踪了一下,发现过去刊登的论文包括“为什么27岁对音乐家来说不是一个危险的年龄”、“吞剑的副作用”、“圣诞树是否有毒”、“脑外科医生是否更聪明”等等。
属实是非常脑洞大开了。
论文地址:
https://www.bmj.com/specialties/christmas
参考链接:
[1]https://www.eurekalert.org/news-releases/974886
[2]https://medicalxpress.com/news/2022-12-teabag-style-minutes-day-adults.html
[3]https://www.youtube.com/watch?v=eCLp7zodUiI
— 完 —
「2022人工智能年度评选」榜单揭晓
领军人物TOP30

点这里👇关注我,记得标星哦~
11

被折叠的 条评论
为什么被折叠?



