
文章摘要
空间多模态组学技术被《Nature Methods》评为2023年的先进生物技术,在解析具有空间背景的生物调控过程中发挥着关键作用。近年来,基于K近邻(KNN)图的图神经网络在空间多模态组学方法中受到关注,因为它们能够建模测序点之间的语义关系。然而,固定的KNN图无法捕获由于生物测序过程中不可避免的数据扰动而隐藏的潜在语义关系,导致语义信息的丢失。此外,实际应用中常见的点注释缺失和类别数量先验的缺乏也阻碍了空间多模态组学模型的优化。
为此,我们提出了一种新的空间多模态组学解析框架,称为原型感知图自适应聚合用于空间多模态组学分析(PRAGA)。PRAGA构建了一个动态图,用于捕获潜在的语义关系,并全面整合空间信息和特征语义。该可学习的图结构通过学习跨模态知识,还可以去除扰动噪声。此外,我们基于贝叶斯高斯混合模型的动态适应性提出了一种动态原型对比学习方法,以优化多模态组学表示以应对未知的生物先验。在模拟和真实数据集上与7种竞争方法进行的定量和定性实验表明,PRAGA具有优越的性能。
模型方法

动态组学特定图 对于特定的组学模态,构建一个可学习的参数矩阵来建模测序点间的语义关系图
。使用K近邻无向图来初始化
以确保初始稀疏化。其中K设定为20.
空间聚合编码 在首先通过KNN初始化可学习的特征图
和空间邻接图
。其中A是基于空间坐标计算的空间邻接矩阵。最终得到的空间聚合图为

其中两个W均为可学习参数。然后使用一层图卷积神经网络GCN作为编码器,通过空间聚合图可以对其中一个模态RNA测序特征进行编码。

其中W是编码器中可以学习的参数矩阵。
类似的,其他组学数据进行编码,获得所有模态的特定编码后,使用MLP将不同模态的编码映射为统一的综合表示。

对于每种模态我们使用单层GCN实现解码,通过空间邻接图
从综合编码Z中重构组学特征。利用重构损失计算与原始组学特征之间的均方差:

其中W为重构权重,能够帮助组学特定图从其他模态中获取知识,以减轻测序扰动的影响并促进潜在语义关系的发现。
邻接图的剧烈变化可能会导致训练不稳定,因此利用更新前后特征图的F范数来计算同质性损失,以限制特征图的变化。

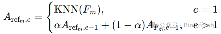
其中
是模态m的参考图,初始化方式与
相同,并在
的学习过程中通过指数移动平均进行缓慢更新:

其中e是训练周期索引,
是控制移动速度的超参数。同质性损失限制组学特定图每次仅学习少量的新关联边,在提供可解释性的同时保持训练稳定性。
动态原型对比学习 使用综合表示Z,设置初始聚类数量为C,利用高斯混合模型将Z分配到C个聚类中。参数敏感性实验验证了初始化的C不敏感,所以只需要一个大致的C即可。每个聚类的均值和样本数量定义为
,其中c代表聚类索引。为了动态调整聚类数量,每个聚类进一步分为两个子聚类,设置每个聚类分裂准则,以决定是否需要分裂:

其中
是伽马函数,
是以正态逆Wishart分布为先验的边际似然,v和k是NIW的超参数。如果S>1,原聚类将被其中一个子聚类代替,另外一个子聚类作为新聚类添加。
同样也设置两个聚类是否需要合并:

如果M>1,则新的聚类将代替原来的两个聚类。
在获得调整后的聚类后,我们将每个Spot分配聚类,并以聚类中心为原型进行对比学习,从而进一步优化可学习特征图。

最后模型的总损失为:
如何学习大模型 AI ?
由于新岗位的生产效率,要优于被取代岗位的生产效率,所以实际上整个社会的生产效率是提升的。
但是具体到个人,只能说是:
“最先掌握AI的人,将会比较晚掌握AI的人有竞争优势”。
这句话,放在计算机、互联网、移动互联网的开局时期,都是一样的道理。
我在一线互联网企业工作十余年里,指导过不少同行后辈。帮助很多人得到了学习和成长。
我意识到有很多经验和知识值得分享给大家,也可以通过我们的能力和经验解答大家在人工智能学习中的很多困惑,所以在工作繁忙的情况下还是坚持各种整理和分享。但苦于知识传播途径有限,很多互联网行业朋友无法获得正确的资料得到学习提升,故此将并将重要的AI大模型资料包括AI大模型入门学习思维导图、精品AI大模型学习书籍手册、视频教程、实战学习等录播视频免费分享出来。

第一阶段(10天):初阶应用
该阶段让大家对大模型 AI有一个最前沿的认识,对大模型 AI 的理解超过 95% 的人,可以在相关讨论时发表高级、不跟风、又接地气的见解,别人只会和 AI 聊天,而你能调教 AI,并能用代码将大模型和业务衔接。
- 大模型 AI 能干什么?
- 大模型是怎样获得「智能」的?
- 用好 AI 的核心心法
- 大模型应用业务架构
- 大模型应用技术架构
- 代码示例:向 GPT-3.5 灌入新知识
- 提示工程的意义和核心思想
- Prompt 典型构成
- 指令调优方法论
- 思维链和思维树
- Prompt 攻击和防范
- …
第二阶段(30天):高阶应用
该阶段我们正式进入大模型 AI 进阶实战学习,学会构造私有知识库,扩展 AI 的能力。快速开发一个完整的基于 agent 对话机器人。掌握功能最强的大模型开发框架,抓住最新的技术进展,适合 Python 和 JavaScript 程序员。
- 为什么要做 RAG
- 搭建一个简单的 ChatPDF
- 检索的基础概念
- 什么是向量表示(Embeddings)
- 向量数据库与向量检索
- 基于向量检索的 RAG
- 搭建 RAG 系统的扩展知识
- 混合检索与 RAG-Fusion 简介
- 向量模型本地部署
- …
第三阶段(30天):模型训练
恭喜你,如果学到这里,你基本可以找到一份大模型 AI相关的工作,自己也能训练 GPT 了!通过微调,训练自己的垂直大模型,能独立训练开源多模态大模型,掌握更多技术方案。
到此为止,大概2个月的时间。你已经成为了一名“AI小子”。那么你还想往下探索吗?
- 为什么要做 RAG
- 什么是模型
- 什么是模型训练
- 求解器 & 损失函数简介
- 小实验2:手写一个简单的神经网络并训练它
- 什么是训练/预训练/微调/轻量化微调
- Transformer结构简介
- 轻量化微调
- 实验数据集的构建
- …
第四阶段(20天):商业闭环
对全球大模型从性能、吞吐量、成本等方面有一定的认知,可以在云端和本地等多种环境下部署大模型,找到适合自己的项目/创业方向,做一名被 AI 武装的产品经理。
- 硬件选型
- 带你了解全球大模型
- 使用国产大模型服务
- 搭建 OpenAI 代理
- 热身:基于阿里云 PAI 部署 Stable Diffusion
- 在本地计算机运行大模型
- 大模型的私有化部署
- 基于 vLLM 部署大模型
- 案例:如何优雅地在阿里云私有部署开源大模型
- 部署一套开源 LLM 项目
- 内容安全
- 互联网信息服务算法备案
- …
学习是一个过程,只要学习就会有挑战。天道酬勤,你越努力,就会成为越优秀的自己。
如果你能在15天内完成所有的任务,那你堪称天才。然而,如果你能完成 60-70% 的内容,你就已经开始具备成为一名大模型 AI 的正确特征了。
这份完整版的大模型 AI 学习资料已经上传优快云,朋友们如果需要可以微信扫描下方优快云官方认证二维码免费领取【保证100%免费】


被折叠的 条评论
为什么被折叠?



