CH1 基本概念
1. 数字通信的原理框图

上面和下面对称的记忆
2. 数字通信的优缺点
优点
(1)抗噪声和抗干扰能力强
(2)便于提高信息传输效率
(3)便于传输过程差错控制
(4)便于信息加密处理
(5)便于VLSI大规模集成电路实现
缺点(1)需要采用复杂的同步技术
(2)当信号失真大于失真门限,收到的是完全错误的符号
3. 通信系统的主要性能指标

4. 无线信道的特点
(1)传播的开放性
(2)信道的复杂性
(3)环境的时变性
(4)频谱资源的稀缺性
5. 通信信道的主要数字模型




多径


CH2 信号分析基础
6. 维纳-辛钦定理
【能量信号】对于“能量信号”,信号的“能量谱密度”与“自相关函数”是一个傅里叶变换对

【功率信号】对于“功率信号”,信号的“功率谱密度”与“自相关函数”是一个傅里叶变换对

7. 帕斯瓦尔定理
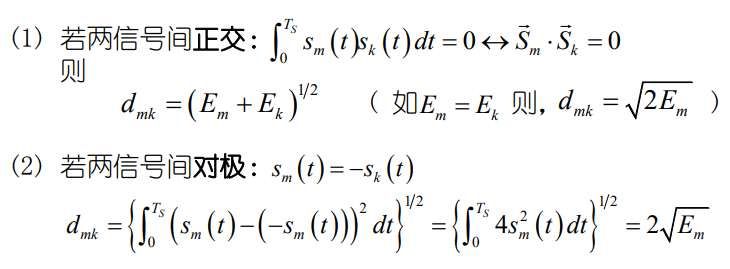
8. 正交的含义
矢量表示的两个信号作内积结果为0
9. 标准正交基与信号空间映射
标准正交基相互之间正交,其自己与自己的内积为1

信号空间映射指的是信号可以被表示为标准正交基的线性组合。

10. 广义平稳随机过程的含义



通信系统中遇到的信号以及噪声,大多数可视为广义平稳过程。
11. 遍历性的含义

遍历性又叫“各态历经性”,其含义:随机过程中的任一样本都经历了随机过程的所有可能状态。
数学上:可用一次实现的“时间平均”来取代过程的“统计平均”,简化测量和计算。
12. 窄带高斯信号及其特点,瑞利分布和莱斯分布
瑞利分布


莱斯分布
同相分量加了一个A



13. 瑞利衰落信道和莱斯衰落信道
瑞利衰落信道


莱斯衰落信道

14. 平稳随机过程经过线性系统后的功率谱密度表达式

15. 无失真线性系统的频率特性和群时延特性

信号经过无失真线性系统只有幅度和时延的变化,无色散

【群时延特性】信号的不同频率成分经过系统后时延相同
16. 循环平稳随机过程的含义及其功率密度谱函数





17. 匹配滤波器的原理图

18. 匹配滤波为什么是最佳接收机
不会考试
CH3 信源的数字化
19. 数字化的步骤

20. 奈奎斯特采样定理

21. 均匀分布时均匀量化的量化误差(均值与方差)


证明过程如下。∫−Δ2Δ2z21Δdz=Δ212\int_{-\frac\Delta2}^{\frac\Delta2}z^2\frac1\Delta dz=\frac{\Delta^2}{12}∫−2Δ2Δz2Δ1dz=12Δ2

Δ是量化步长,是每个区间的宽度
22. 最佳量化器的表达式、均匀分布时的最佳量化
最佳量化器的表达式

均匀分布时的最佳量化(必出证明题)

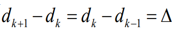
- 首先明确什么是均匀量化,把判决门限ddd和输出信号幅度yyy满足下列式子的量化方法称为均匀量化。
{ dk+1−dk=dk−dk−1=Δyk=dk+1+dk2k=1,2,⋯ ,M−1\begin{cases}\begin{aligned}d_{k+1}-d_k&=d_k-d_{k-1}=\Delta\\y_k&=\frac{d_{k+1}+d_k}2\end{aligned}&k=1,2,\cdots,M-1&\end{cases}⎩ ⎨ ⎧dk+1−dkyk=dk−dk−1
数字通信原理与技术详解

最低0.47元/天 解锁文章
3893





