今天在SafoSafo数据科学论坛上做了套机器学习的面试题,10道题对了8个。下面碰到了一道华为抛硬币的面试题。
感觉是个不错的论坛:http://sofasofa.io/

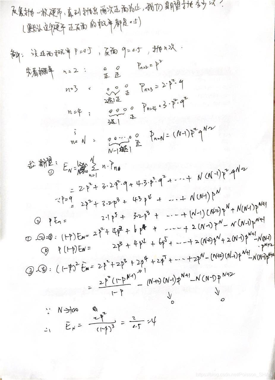
我自己又做了一遍完整的数学解:

在SafoSafo数据科学论坛上完成了一套机器学习面试题,正确率高达80%。分享了华为抛硬币面试题的完整数学解答过程,该论坛是一个值得推荐的数据科学交流平台。
今天在SafoSafo数据科学论坛上做了套机器学习的面试题,10道题对了8个。下面碰到了一道华为抛硬币的面试题。
感觉是个不错的论坛:http://sofasofa.io/

我自己又做了一遍完整的数学解:


被折叠的 条评论
为什么被折叠?