1. 概述
基于FPGA实现各种设计的首要前提是理解并掌握数字的表示方法,计算机中的数字表示方法有两种:定点数表示法和浮点数表示方法。其中,对于浮点数尽管当前应用最为广泛的是基于IEEE 754所设计的浮点数表示方法,Xilinx(忘记Altera中是否有对应的IP核)的IP核中也提供了相应的设计方法,但其表示方法缺乏FPGA设计应有的灵活性,而且资源消耗相对严重,因此可以根据应用的需要,设计好基于FPGA实现的自定义浮点数。
2. 定点数表示
定点数大类上可分为有符号数和无符号数,需要清楚的是,无论是计算机还是FPGA,其底层并没有无符号数、有符号数的概念,底层只是一大串二进制数据在进行运算(在底层就是一大堆寄存器处于开关的工作状态中)。定点数的第一印象容易给人产生是用来表示整数的印象,然而无论是整数还是小数都可以采用定点数来表示,同理整数和小数的概念也是人为规定上去的,FPGA本身不会理解那一大串二进制数是表示整数还是小数,具体的运算法则由编程人员规定好。
1.1 Qm.n的表示方法
本文采用最广泛使用的补码表示形式(默认都懂其他的原码表示和反码表示形式),对应的用来表示有符号数。人为定义小数点的位置。
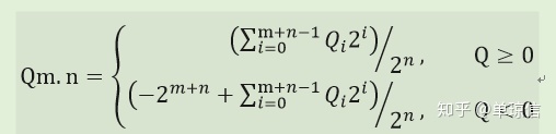
采用Qm.n量化表示定点数,其中m用来表示小数点前的位宽,包括一位符号位和m-1位整数位,n表示小数位宽。如16位有符号整数可以表示成Q16.0,用来表示小于1的小数则可以表示成Q1.15。对于Qm.n的表示格式,其范围表示如下:

例如,1110整数则表示为Q4.0:(-2^4 + 2^3 + 2^2 +0)/2^0= -2,1110有两位小数则表示为Q2.2:(-2^4+2^3+2^1+0)/2^2 = -0.5。下表对应表示16位二进制补码表示的数的范围。

本文探讨了基于FPGA实现图像处理中的空域滤波操作,重点关注定点数和浮点数的表示方法。介绍了Qm.n的定点数表示形式以及浮点数的定点化,包括尾部截断舍弃法和四舍五入法,并通过MATLAB举例说明了转换过程。
最低0.47元/天 解锁文章
1301

被折叠的 条评论
为什么被折叠?



