在数据结构中,排序、插入、遍历应用到了二次递归,二次递归一直是一个难点,大部分教材也一直解释不清,同时也是很多学校里的老师很少会花时间讲解的一个内容。
这里以前序遍历、中序遍历、后续遍历来表述二次递归中c++编译器中的工作原理。

先贴上前序遍历,中序遍历,后续遍历的代码
前序遍历(preorder)
void preorder_traversal(Treenode * root){
if(root ==NULL){
return;}
cout << "遍历发正在这里"<<root ->data<<endl;
preorder(root ->left);
preorder(root ->right);}
中序遍历(inorder)
void inorder_travsal(teende * root){
if(root = NULL){
return}
inorder_travsal(root ->left);
cout << "遍历发生在这里"<<root ->data<<endl;
inorder_travsal(root ->right);
}
后续遍历(postorder)
void postorder_traversal(treenode * root){
if(root == NULL){
return;}
postorder(root->left);
postorder(root ->right);
cout<<"遍历发生在这里"<<root ->data<<endl;}
仔细观察会发现这些函数的大体遍历十分相似。
而只有cout << 位置不同导致了输出结果的不同
但为什么会导致遍历的过程不同?
这与c++的内存机制有关,在c++中函数的递归其实是入栈和出栈的过程。(因为c++采用的是栈内存)
那么什么是栈(stack)呢?其实可以想象成一个弹夹,我们最后压入的子弹最先打出,栈遵循后进先出原则。
那么编译器是怎么想的呢?
我们举一个简单的例子:
void fun(int a){
if( a<0){
return;}
fun(a-1)
cout << a<<endl;}
比如这行代码,当我们输入5时,输出会变成 0,1,2,3,4,5
为什么会这样呢?
因为之前提到过,c++递归本质上只是一个入栈和出栈的过程
我们输入5,5首先会被压入栈中,接着依次是4->3->2->1->0以此压入栈中,当变为-1时,递归函数触碰到了终止条件,return。接着栈里的元素一个接一个被弹出。
简化理解:每一次递归函数后,进入暂停状态,直到遇到return,继续向下执行
4(pause)->3(pause)->2(pause)->1(pause)->0(pause)-> -1(触碰到返回条件if(a<0),不会继续进行递归)
0(continue)=>输出0
1(continue)=>输出1
.........
继续直到第一个暂停的状态被调用
这也是编译器中所发生的过程
接下来是DFS(前序,后续,中序遍历)
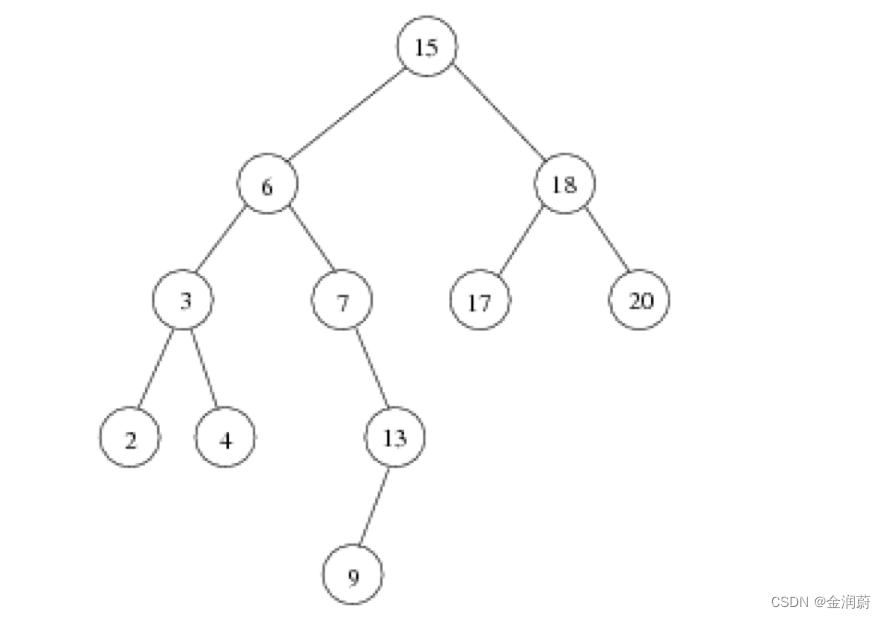
回到一开头的这张图

前序遍历(stack中),先进行第一层的遍历
void preorder_traversal(Treenode * root){
if(root ==NULL){
return;}
cout << "遍历发正在这里"<<root ->data<<endl;
preorder(root ->left);
(打印15)15(pause)->(打印6)6(pause)->(打印3)3(pause)->(打印2)2(pause)->NULL(触碰返回条件:if(root ==NULL){return;},不会再执行)
这些pause发生在preorder(root ->left)里
2(continue),给下一层递归函数,preorder(root ->right)
2的右边有null,又触碰到了返回条件,不会再执行
3(continue)->4(pause)(打印4)-> 然后观察这个函数:
发现第一层preorder(root ->left),这个函数会被继续调用:4的左边NULL,触碰返回条件,不再执行。
前面的 4(continue)在preorder(root ->right)里继续调用,4的右边:NULL,触碰返回条件,不再执行。
6(continue):给下一层递归函数,preorder(root ->right),6的右边:7(打印7)(pause在(r->right里)
7给到preorder(root ->left)里,继续递归,7的左边:NULL,不再执行。
回到 (pause在(r->right),继续调用:打印13(pause)
13给到preorder(root ->left)里,13左边为9,打印(pause),再次调用preorder(root ->left),9的左边为空,不再继续。
回到13:调用13preorder(root ->right),为空,不再继续。
15(continue):……
最后得到遍历的结果:preorder:15,6,3,2,4,7,13,9,18,17,20
获取遍历结果我们只需要观察cout在哪里即可
我们了解这个就会发现为什么在一些教材中会出现一个口诀:节点,左,右
其中一个规律:root节点永远出现在最左边
中序遍历:相同操作,也是出栈入栈过程
inorder:2,3,4,6,7,9,13,15,17,18,20
后续遍历:postorder :2,4,3,9,13,7,6,17,20,18
强烈建议用纸和笔来多次练习一下!!!
我们观察前序遍历和中序遍历中,似乎可以不使用这种递归就可以得到相同的结果,因为正如前文中所说,一个"stack"栈的存在似乎也可以得到一样的结果!!!!
那么如何用栈来实现呢?
回顾整个遍历的过程我们会发现:我们只需要顺着根节点开始:把左边从第一个遇到的第一个节点依此压入栈里,全部压入栈里后,在把栈顶元素弹出向右边遍历一次再向左边持续遍历,这也是大体上来讲编译器中发生的过程。
前序遍历:
void iterative_inorder(Treenode * r){
if(root == NULL){
return;}
stack<Treenode *> treestack;
Treenode curr= r;
Treenode * temp = NULL;
do(
if(curr != NULL){
treestack.push(curr);
cout <<"遍历发生在这里"<< curr->data<<endl;
curr = curr->left;
else{
temp = treestack.top();
treestack.pop();
curr = temp ->right;}while(!treestack.empty()||currnode != NULL)//有可能tree stack为空,但curr里仍然存贮这一个值
}
中序遍历:
void iterative_inorder(TreeNode *r){
if(r== NULL){
return;
}
else{
TreeNode * currnode = r;
TreeNode * prevnode = NULL;
stack<TreeNode*>treestack;
do{
if(currnode!= NULL){
treestack.push(currnode);
currnode = currnode ->left;
}
else{
prevnode=treestack.top();
treestack.pop();
cout <<"遍历发生在这里"<<prevnode ->data<<endl;
prevnode = prevnode ->right;
currnode = prevnode;
}
}while(currnode!=NULL||!treestack.empty());
}
}
和前面一样的道理。
而后续遍历我们发现是沿着一个节点,先遍历左边,左边结束了在遍历右边,右边结束了才会遍历到这个节点,这里应该使用两个栈来实现,一个主栈,用来实现进入和遍历,另外一个栈用来判断当前节点的右边是否遍历到了(因为和前面一样,先向左持续遍历下去),遍历到了才会遍历这个节点,再加上和递归方程一样的判断,(左边指针为空则从栈中弹出。向右边遍历一次,再持续向左边继续遍历)
void iterativePostorder(TreeNode* root){
if(root == NULL){return;}
else{
TreeNode * cur = root;
stack<TreeNode *>mainstack;
stack<TreeNode *>rightstack;
while(cur!= NULL || !mainstack.empty()){
if(cur!=NULL){
mainstack.push(cur);
if(cur ->right !=NULL){
rightstack.push(cur->right);
}
cur = cur ->left;
}
else{
cur = mainstack.top();
if(!rightstack.empty() && cur->right == rightstack.top()){
//意味着,我们还没有遍历植于右子节点的子树(右边没有遍历到,左边已经完全了)
//避免null = null
cur = rightstack.top();//cur继续遍历,遍历只发生在mainstack中
rightstack.pop();
}//ChildStack弹出顶部节点,并使用currNode分配它。
else{
mainstack.pop();
cout << cur ->data<<endl;
cur =NULL;
}
}
}
}
}
以上这些就是二次递归之--------深度优先遍历。
和数据结构有关的课程会慢慢更新,希望可以对学习有帮助。
Feel free to ask!!!
5万+

被折叠的 条评论
为什么被折叠?



