给你一个链表,两两交换其中相邻的节点,并返回交换后链表的头节点。你必须在不修改节点内部的值的情况下完成本题(即,只能进行节点交换)。
示例 1:

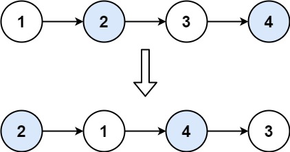
输入:head = [1,2,3,4] 输出:[2,1,4,3]
示例 2:
输入:head = [] 输出:[]
示例 3:
输入:head = [1] 输出:[1]
#include<iostream>
using namespace std;
struct ListNode {
int val;
ListNode* next;
ListNode(int value) : val(value), next(nullptr) {}
};
ListNode* createSList(int* nums, int sz) {
ListNode* head = nullptr;
ListNode* tail = nullptr;
for (int i = 0; i < sz; ++i) {
ListNode* newNode = new ListNode(nums[i]);
if (tail == nullptr) {
head = tail = newNode;
} else {
tail->next = newNode;
tail = newNode;
}
}
return head;
}
void destroySList(ListNode* head) {
while (head != nullptr) {
ListNode* temp = head;
head = head->next;
delete temp;
}
}
ListNode* swapPairs(ListNode* head) {
/*
算法思想:双指针法
*/
if(!head || !head -> next){
return head;
}
ListNode* dummy = new ListNode(0);
dummy -> next = head; // 0 -> 1
ListNode* node0 = dummy;
ListNode* node1 = head;
while(node1 != nullptr && node1 -> next != nullptr){
ListNode* node2 = node1 -> next;
ListNode* node3 = node2 -> next;
//循环的操作
node0 ->next = node2; //0 -> 2 ;
node2 -> next = node1; //2 -> 1
node1 -> next = node3; //1 -> 3
node0 = node1;
node1 = node1 -> next;
}
return dummy -> next;
}
int main() {
int arr[] = {1, 2, 3, 4};
int sz = sizeof(arr) / sizeof(arr[0]);
ListNode* head = createSList(arr, sz);
ListNode* p = swapPairs(head);
//遍历链表
while(p != nullptr){
cout << p -> val << " ";
p = p -> next;
}
// 在程序结束前释放链表占用的内存
destroySList(head);
return 0;
}
2 1 4 3
2377

被折叠的 条评论
为什么被折叠?



